الطاقة = الكتلة × مربع سرعة الضوء
المؤلف:
راسل ستانارد
المصدر:
النسبية (مقدمة قصية جدا)
الجزء والصفحة:
الفصل الأول (ص39 – ص45)
2023-02-11
3134
كيف يسعنا تأويل التعبير الرياضي النسبوي الخاص بالزخم ؟ 
يفضل بعض الفيزيائيين الاعتقاد بأن لا شيء يمكن تأويله على هذا النحو، فكل ما علينا فعله هو الاستعاضة عن السرعة ν في صياغة نيوتن بالتعبير الأكثر تعقيدا

يحافظ على مفهوم الكتلة غير المتغيرة m هذا على الأرجح هو الموقف الذي يفضله أغلب الفيزيائيين حاليٍّا. ومع ذلك، ثمة ما يدعونا لاقتراح طريقة بديلة للنظر إلى الأمور. وفق هذه النظرة الأخرى، فإن العنصر الجديد:

ينبغي التفكري فيه بوصفه ينتمي إلى الكتلة. وبعبارة أخرى: الكتلة تزيد مع تزايد سرعة الجسم ν بهذه النسبة. هذه الفكرة تتطلب منا التفريق بين كتلة الجسم وهو في حالة سكون (ما يسمى «كتلة السكون»)، وكتلته عند الحركة؛ ومن ثَم، فإن m في املعادلة ينبغي أن يُستعاض عنها بالرمز m0 الذي يشري إلى كتلة الجسم عند السكون؛ أي حني تكون سرعته صفرا. وبهذا تكون:

حيث تشير m الآن إلى كتلة الجسم عند تحركه بالسرعة ν.
إلام ينبغي أن نعزو هذه الزيادة في الكتلة؟ بينما تزداد سرعة الجسم، تزداد طاقته؛ ومن ثَم فهو يكتسب طاقة حركة. من المفترض أن للطاقة كتلة، ولا يستطيع الجسم أن يكتسب المزيد من الطاقة دون أن يكتسب في الوقت عينه تلك الكتلة الإضافية المصاحبة لطاقة الحركة. لم يوجد حد للسرعة؟ لأن كتلة الجسم في نهاية المطاف ستقترب من اللانهائية مع اقتراب سرعة الجسم من سرعة الضوء؛ ومن ثَم يصير من المستحيل على أي قوة — مهما بلغت شدتها وطول مدة عملها — أن تزيد من سرعة جسم ذي كتلة لانهائية. لقد خلصنا إلى هذا الاستنتاج القائل بأن ثمة حدا للسرعة استنادا إلى التفكري النظري. لكن، هل تعزز هذا الاستنتاج بالنتائج العملية؟ للإجابة عن هذا السؤال سنذهب مرة أخرى إلى مختبر الفيزياء عالية الطاقة في سيرن في ضواحي جنيف بسويسرا، أو ما سواه من المختبرات العديدة المماثلة في الولايات المتحدة وأوروبا. في هذه المختبرات توجد آلات تسمى (معجلات الجسيمات) (وهي تُشتَهر على نحو خاطئ باسم «محطمات الذرات»). وظيفة هذه المعجلات هي استخدام قوى كهربية شديدة في دفع جسيمات دون ذرية ضئيلة — بروتونات أو إلكترونات — إلى التحرك بسرعات عالية. في بعض المعجلات توجه الجسيمات بواسطة مغناطيسات كهربية حول مسار دائري؛ على نحو أشبه بما يحدث حين يدير رامي المطرقة الأولمبي مطرقته مرارا فوق رأسه حتى تكتسب المزيد والمزيد من السرعة. وبالفعل، ثبت أن ثمة حدا للسرعة؛ إنه سرعة الضوء. فمع الاستمرار في دفع الجسيمات، تتزايد سرعتها ببطء نحو سرعة الضوء، حيث أنها لا تصل إليها مطلقا، وذلك رغم الاستمرار في زيادة زخمها وصولا إلى نقطة يعجز معها المجال المغناطيسي عن الحفاظ على الجسيمات في مسارها. عندئذ يصير هذا هو حد الطاقة الخاص بذلك المعجل. وللوصول إلى طاقات أعلى، علينا بناء معجلات أكبر؛ وذلك كي تتسع لمغناطيسات إضافية. وأكبر المعجلات حتى وقتنا الحالي — والقائم في سيرن — يبلغ محيطه 27 كيلومترًا.
في ضوء تفسير هذه النتيجة بوصفها ناجمة عن زيادة كتلة الجسيمات، إلى أي مدى تزداد الجسيمات ثقلا؟ في معجل موجود في ستانفورد بكاليفورنيا، يقوم العلماء بتسريع أخف الجسيمات قاطبة — الإلكترونات — على امتداد أنبوب مستقيم طوله 3 كيلومترات. وحني تصل الإلكترونات إلى الطرف الآخر، تكون كتلتها قد تضاعفت 40 ألف مرة عما كانت عليه في بداية الرحلة. ما الذي يحدث لها نتيجة اكتسابها هذه الكتلة؟ حين تسكن حركة الإلكترونات، تفقد الطاقة التي اكتسبتها، وبالتبعية تفقد أيضا الكتلة المكتسبة المرتبطة بهذه الطاقة؛ ومن ثَم تعود إلى كتلتها العادية في حالة السكون.
المرتبطة بهذه الطاقة؛ ومن ثَم تعود إلى كتلتها العادية في حالة السكون. في هذه النقطة يثار سؤال مثير للاهتمام: لقد رأينا كيف أن الطاقة — طاقة الحركة —مرتبطة بالكتلة، لكن ماذا عن كتلة السكون m0 ،التي يملكها الجسيم حين يكون ساكنً ولا يملك أي طاقة حركة؟ لو كان من الصحيح أنه ليس بالإمكان أن يملك الجسم طاقة دون أن تكون هناك كتلة مصاحبة لهذه الطاقة، ألا يعني هذا بالمثل أنه ليس بالإمكان أن يملك الجسم كتلة إلا وصاحبتها طاقة؟ لو أن الحال كذلك، ما نوع الطاقة المرتبط بكتلة السكون؟ الإجابة هي أنه نوع حبيس من الطاقة. إنها طاقة يمكن في الظروف الملائمة أن تتحرر، وهي أساس طاقة القنابل النووية والطاقة الشمسية.
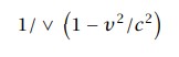
بدراسة هذا بقدر أكبر من التفصيل، نجد أنه مثلما يوجد تعبير رياضي نسبوي لزخم الجسم، يوجد أيضا تعبير خاص بالطاقة الكلية E للجسم. وهذا التعبير هو العادلة الأشهر على الإطلاق لأينشتاين التي تقضي بأن الطاقة = الكتلة × مربع سرعة الضوء، أو بالتعبير الرياضي:

الحد الأول على الجانب الأيمن للمعادلة يمثل الطاقة الحبيسة في كتلة السكون. أما بقية الحدود فتمثل الطاقة الإضافية التي يكتسبها الجسيم خلال حركته. ستدرك أن أول هذه الحدود هو تعبير نيوتن الرياضي المألوف عن طاقة الحركة، وهو تقريب جيد لطاقة الحركة النسبية عندما تكون قيم سرعة الجسم صغيرة مقارنة بسرعة الضوء. ما نقوله إذن هو أن الطاقة الإجمالية للجسم هي مجموع الطاقة الحبيسة في كتلة السكون الخاصة بالجسم، مضافة إليها الطاقة الحركية للجسم.
ومن ثَم، تخبرنا معادلة «الطاقة = الكتلة × مربع سرعة الضوء» أو E = mc2 بأن كتلة الجسم مرتبطة على الدوام بطاقته، والعكس بالعكس؛ فطاقة الجسم مرتبطة على الدوام بكتلته. (العنصر «مربع سرعة الضوء» موجود بهدف الحصول على وحدات الكتلة والطاقة بشكل سليم؛ إذ إنه لا يمكن مثلا أن نقول إن عددا من كيلوواطات الطاقة = عددا ُ من كيلوجرامات الكتلة!) وبهذا يمكننا التأكيد على أن الطبق الذي سخن في الفرن يكون أثقل مما كان عليه وهو بارد. سبب هذا هو أنه عند تسخني الطبق، صار لديه طاقة أكبر؛ ومن ثَم لا بد وأن يكون قد اكتسب الكتلة الإضافية المرتبطة بهذه الطاقة. حيث أن مثل هذا الفارق في الوزن لن يكون محسوسا. (لهذا، إذا أوقعت الطبق عقب إخراجه من الفرن، فسبب هذا هو أنه كان من المفترض بك أن ترتدي قفازا قبل الإمساك به، لا أن وزنه قد زاد.
لكن عند التعامل مع القوى العنيفة — على غرار تلك التي تربط نويات الذرات — تصير القصة مختلفة تماما. ففي العمليات النووية، يصير لفوارق الكتلة أهمية بالغة. لا ريب أنك تعرف أن الذرات تتكون من نويات ثقيلة مركزية يحيط بها إلكترونات خفيفة للغاية. إن العناصر الاثنين والتسعين التي تتألف منها المادة التي نجدها في الطبيعة تتباين بعضها عن بعض من حيث عدد الإلكترونات التي تملكها (والتي يتراوح عددها ما بين إلكترون واحد إلى 92 إلكترونا)، وأيضا من حيث حجم نوياتها. وقد وجد أنه عند ارتطام النويات الخفيفة بعضها ببعض، فإنها أحيانًا ما تندمج مكونة نواة أثقل. وشأن الأنظمة المترابطة، بمجرد تكون النواة المركبة سنحتاج إلى طاقة لفصم المكونات مجددا. ومن هذا نستنتج أن النواتين الأصغر حجما لا بد وأنهما كانتا تملكان فيما بينهما في البداية طاقة أكبر من الطاقة التي صارتا تملكانها داخل النواة المركبة الأكبر؛ ومن ثَم، لا بد أن عملية الاتحاد حتمت إطلاق فارق الطاقة هذا، وهو ما يتم على صورة طاقة حرارية و/أو طاقة ضوئية. وهذه هي العملية التي تحصل بها الشمس على طاقتها، «الاندماج النووي»؛ أي اندماج النويات الخفيفة لتكوين نويات أثقل بما أن النواة الأثقل تملك طاقة أقل من النواتين المنفصلتين، لا بد أيضا أن كتلتها أقل من كتلتَي الجسيمين المنفصلين. وبعض الطاقة التي كانت في البداية حبيسة على صورة كتلة سكون تحولت الآن إلى أحد تجسيدات الطاقة الأخرى، والذي يشع في نهاية المطاف إلى الفضاء. وبهذه الطريقة، تحول الشمس كل ثانية 600 مليون طن من الهيدروجين إلى596 مليون طن من الهليوم، مع فقد مقداره 4 ملايين طن من كتلة السكون.
ماذا عن «الانشطار النووي»؟ هذه هي العملية التي استُخدمت في أول قنبلتين نوويتن القيتا على كل من هريوشيما وناجازاكي، وهي مصدر الطاقة في جميع محطات الطاقة النووية اليوم. تعتمد هذه العملية على حقيقة أن النويات الكبيرة للغاية — كنواة اليورانيوم — تنحو إلى عدم الاستقرار. ومن الممكن أن تصير نيوتروناتها وبروتوناتها مرتبة بإحكام أكبر وعلى نحو أكثر فعالية إذا انقسمت النواة الكبيرة لتكون نواتين أصغر حجما، بالإضافة إلى نواتج أخرى لعملية الانشطار النووي مثل النيوترونات والإلكترونات ونبضات الضوء. تتضمن عملية الانشطار النووي التقليدية امتصاص نظري اليورانيوم — يورانيوم 235 — نيوترونا بحيث يصير يورانيوم 236، والذي ينشطر عندئذ مكون عنصري الكريبتون 92 والباريوم 141، إلى جانب إطلاق ثلاثة نيوترونات وكمية من ِ الطاقة؛ طاقة الانشطار النووي. يمكن للنيوترونات المنبعثة أن يتم امتصاصها من قبل ذرات أخرى لليورانيوم 235 ،والتي تنشطر بدورها، وهكذا ينطلق تفاعل متسلسل. وإذا وقع عدد من التفاعلات بسرعة، يحدث انفجار (القنبلة النووية)، على الجانب الآخر، إذا نُشطت عملية الانشطار على نحو محكوم، يمكن تحرير الطاقة على نحو ثابت بحيث تُستخدم هذه الطاقة لأغراض سلمية (محطات الطاقة النووية). إن الطاقة التي يمكن الحصول عليها من الاندماج النووي للهيدروجين أكبر من تلك التي يمكن الحصول عليها من انشطار النويات الثقيلة. ولهذا السبب تكون القنابل الهيدروجينية أكثر دمارا من سابقاتها النووية المعتمدة على الانشطار النووي. ومنذ اختراع القنبلة الهيدروجينية والمحاولات جارية لتسخير طاقة الاندماج النووي في الأغراض السلمية، خاصة وأن الوقود المطلوب لعمليات الاندماج النووي متاح بوفرة على صورة الديوتريوم، نظير الهيدروجين الموجود بوفرة في مياه البحر. إن جالونا واحدا من مياه البحر يحوي طاقة تعادل 300 جالون من النفط. ميزة أخرى يملكها الاندماج النووي على الانشطار النووي، تتمثل في أنه لا يتسبب في نفايات مشعة مضرة يجب أن يتم تخزينها على نحو آمن لفترات طويلة من الوقت. لكن مع الأسف، من العسير للغاية تسخري هذا النوع من الطاقة. إن المواد الداخلة في عملية الاندماج يجب أن تخضع لحرارة مرتفعة للغاية، تصل إلى 100 مليون درجة مئوية، وهي من الشدة بحيث تتسبب في ذوبان الوعاء الحاوي لها. ولهذا يجب أن تحاط المادة بمجالات مغناطيسية تبعدها عن جدران الوعاء الحاوي. وهذه الحالة من الصعب للغاية الحفاظ عليها. ولا تزال المحاولات جارية، ومن المؤكد أنها ستنجح يوما ما. حيث أن توليد الطاقة على المستوى التجاري لا يزال يبدو بعيد المنال. ووفق التقديرات الحالية لن يحدث هذا قبل عام 2040.
رأينا كيف أن طاقة كتلة السكون يمكن تحويلها إلى أشكال أخرى من الطاقة. هل تسير هذه العملية على نحو معاكس أيضا؟ هل يمكن مثلا استخدام طاقة الحركة في تخليق كتلة ساكنة؟ نعم، بالفعل. وهذا أحد الأهداف الرئيسة لمعجلات الجسيمات التي تحدثنا عنها لتونا. فالجسيمات تُدفع حتى مستويات عالية من الطاقة ثم تصطدم بأهداف، أو بشعاع من الجسيمات قادم من الاتجاه المعاكس. وعادةً ما ينجم عن الاصطدام جسيمات جديدة؛ جسيمات لم يكن لها وجود من البداية. من الواضح أن القول المأثور «المادة لا تفنى ولا تُستحدث من عدم» لم يعد صحيحا. لكن ضع في الاعتبار أننا لا نتحدث هنا عن تخليق مادة من العدم. فبجمع طاقة الحركة لكل الجسيمات النهائية ومقارنتها بالطاقة التي كانت الأجسام المقذوفة تملكها نجد أن بعض الطاقة مفقود. وهذا النقص يمكن تفسريه بواسطة مقدار كتلة السكون الجديدة التي جرى تخليقها. ما أنواع الجسيمات التي يمكن تخليقها؟ في المقام الأول، يجب أن نذكر أننا لا نستطيع تخليق مادة جديدة بأي كمية نريدها. فهناك كتل ثابتة معينة مسموح للمادة أن تملكها. وهكذا فإن بمقدورنا أن ننتج جسيما كتلته 264 مرة ضعف كتلة الإلكترون، لكن ليس جسيما كتلته 263 أو 265 مرة ضعف كتلة الإلكترون. هذا هو جسيم البايون متعادل الشحنة الذي قابلناه من قبل عند الحديث عن سرعة الضوء المنبعث من مصدر متحرك. وكما ذكرنا هناك، هذا الجسيم غير مستقر ويتحلل إلى دفقتني من الضوء. إذن، في وقت قصير فإن طاقة الحركة الخاصة بالمقذوف، والتي تحولت إلى كتلة سكون خاصة بالبايون تعاود التحول إلى طاقة على صورة ضوء. أيضا يعد الميون من الجسيمات التي تنشأ من تجارب الطاقة العالية. للميون كتلة قدرها 207 مرات قدر كتلة الإلكترون وينتج عن تحلل البايون المشحون . والميون بدوره يتحلل إلى جسيمات أخف، مطلقا الطاقة مجددا.
بعض الجسيمات المخلقة حديثًا لها سمات لا تملكها المادة العادية التي يتألف منها عاملنا؛ سمات تحمل أسماءً ذات وقع عجيب على غرار «الغرابة» و«السحر». هذا هو عالم الفيزياء عالية الطاقة، أو كما يطلق عليها أحيانًا فيزياء الجسيمات الأساسية. إنه عالم كل ما فيه تقريبًا يتحرك بسرعة تقارب سرعة الضوء، وفيه تكون النسبية الخاصة هي الحاكمة. إنه عالم ينظر فيه الفيزيائيون إلى النسبية بوصفها ظاهرة يومية واقعية؛ وأمرا منطقيا تماما.
الاكثر قراءة في النظرية النسبية الخاصة
اخر الاخبار
اخبار العتبة العباسية المقدسة