
تاريخ الفيزياء

علماء الفيزياء


الفيزياء الكلاسيكية

الميكانيك

الديناميكا الحرارية


الكهربائية والمغناطيسية

الكهربائية

المغناطيسية

الكهرومغناطيسية


علم البصريات

تاريخ علم البصريات

الضوء

مواضيع عامة في علم البصريات

الصوت


الفيزياء الحديثة


النظرية النسبية

النظرية النسبية الخاصة

النظرية النسبية العامة

مواضيع عامة في النظرية النسبية

ميكانيكا الكم

الفيزياء الذرية

الفيزياء الجزيئية


الفيزياء النووية

مواضيع عامة في الفيزياء النووية

النشاط الاشعاعي


فيزياء الحالة الصلبة

الموصلات

أشباه الموصلات

العوازل

مواضيع عامة في الفيزياء الصلبة

فيزياء الجوامد


الليزر

أنواع الليزر

بعض تطبيقات الليزر

مواضيع عامة في الليزر


علم الفلك

تاريخ وعلماء علم الفلك

الثقوب السوداء


المجموعة الشمسية

الشمس

كوكب عطارد

كوكب الزهرة

كوكب الأرض

كوكب المريخ

كوكب المشتري

كوكب زحل

كوكب أورانوس

كوكب نبتون

كوكب بلوتو

القمر

كواكب ومواضيع اخرى

مواضيع عامة في علم الفلك

النجوم

البلازما

الألكترونيات

خواص المادة


الطاقة البديلة

الطاقة الشمسية

مواضيع عامة في الطاقة البديلة

المد والجزر

فيزياء الجسيمات


الفيزياء والعلوم الأخرى

الفيزياء الكيميائية

الفيزياء الرياضية

الفيزياء الحيوية

الفيزياء والفلسفة

الفيزياء العامة


مواضيع عامة في الفيزياء

تجارب فيزيائية

مصطلحات وتعاريف فيزيائية

وحدات القياس الفيزيائية

طرائف الفيزياء

مواضيع اخرى
المجال الكهربي لشحنة نقطية
المؤلف:
فريدريك بوش ، دافيد جيرد
المصدر:
اساسيات الفيزياء
الجزء والصفحة:
5-1-2016
12827
المجال الكهربي لشحنة نقطية
إننا مهتمون دائماً بالمجال الكهربي الذي يولده أيون ما او جسيمات مشحونة أخرى لها أبعاد ذرية، وفي معظم الأحوال يمكننا اعتبار هذه الكيانات شحناً نقطية. بل وحتى الكرة المسحونة تسلك سلوك شحنة نقطية تحت ظروف معينة كما سنشير بعد قليل، ولهذا اصبح من المهم لنا أن نتعرف على المجال الكهربي الذي تنشؤه شحنة نفطية.
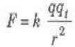
لنفرض أننا نود حساب شدة المجال الكهربي عند نقطة P في الشكل (1) والتي تقع على مسافة r بعيداً عن شحنة نقطية موجبة q ونعلم أن المجال الكهربي للشحنة q يتجه قطرياً للخارج، ولذلك فإن E عند النقطة P ستكون في الاتجاه المبين بالشكل. ولو تخيلنا وجود شحنة اختبار q1 عند النقطة P، فغن القوة المؤثرة عليها ستعطى من قانون كولوم.

وإذا قسمنا الطرفين على q1 لنحصل على F/q1، وهي شدة المجال الكهربي لوجدنا:

ومنها:
(1) 
بالنسبة لشحنة نقطية.
وعندما تكون q موجبة فإن المجال الكهربي يتجه قطرياً إلى الخارج، اما إذا كانت q سالبة فإن المجال سيتجه قطرياً إلى الداخل.

ويمكننا ان نجعل هذه العلاقة تمتد لتشمل موقفاً مهماً آخر، للمجال الكهربي حول كرة متجانسة الشحنة. عند مسافة كبيرة بعيداً عن الكرة المشحونة (ولكتن الشحنة موجبة) فإنها تبدو كشحنة نقطية وعليه تكون خطوط المجال الناجمة عنها ممتدة قطرياً من الكرة إلى الفضاء من حولها. وحيث أن الشحنة على الكرة منتظمة، لذا تكون الخطوط على أبعاد منتظمة من بعضها البعض حول الكرة. وكلما اقتربنا من الكرة فإن الخطوط لابد وان تظل على أبعاد منتظمة من بعضها البعض. ولهذا فحتى بالقرب من الكرة فإن الخطوط تظل قطرية وشبيهة بتلك التي لشحنة نقطية. ومن ثم يكون المجال الناشئ عن كرة مشحونة بشكل منتظم، ولنا الآن أن نستنتج ان:
المجال خارج كرة مشحونة بانتظام هو الذي تنشؤه شحنة نقطية مساوية لشحنة الكرة وموضوعة عند مركزها.
ولهذا تنطبق المعادلة ((1 على كرة مشحونة بانتظام مثلما تنطبق على شحنة نقطية . . على أنه لا بد من ملاحظة انها تنطبق فقط على المنطقة الواقعة خارج الكرة.
الاكثر قراءة في الكهربائية
اخر الاخبار
اخبار العتبة العباسية المقدسة
الآخبار الصحية

قسم الشؤون الفكرية يصدر كتاباً يوثق تاريخ السدانة في العتبة العباسية المقدسة
"المهمة".. إصدار قصصي يوثّق القصص الفائزة في مسابقة فتوى الدفاع المقدسة للقصة القصيرة
(نوافذ).. إصدار أدبي يوثق القصص الفائزة في مسابقة الإمام العسكري (عليه السلام)