قانون نيوتن الثاني من وجهة نظر النسبية
المؤلف:
محمد فخري
المصدر:
النظرية النسبية
الجزء والصفحة:
.....
24-7-2016
3021
قانون نيوتن الثاني من وجهة نظر النسبية
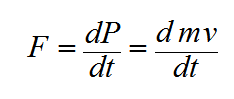
يمكننا إعادة صياغة قانون نيوتن الثاني من وجهة نظر النظرية النسبية الخاصة. حيث ينص هذا القانون على أن مقدار التغير في كمية الحركة يساوى القوة المؤثرة.
(1)
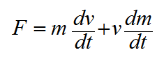
و من وجهة نظر الفيزياء الكلاسيكية أن السرعة هي فقط التي تعتمد على الزمن و لكن من دراستنا للنظرية النسبية وجدنا أن كل من السرعة و الكتلة تتغير مع الزمن، و لذلك تأخذ المعادلة السابقة الشكل التالي (من وجهة نظر النسبية الخاصة):
(2)
و تعتبر هذه العلاقة هي العلاقة الصحيحة لقانون نيوتن الثاني.
الاكثر قراءة في النظرية النسبية الخاصة
اخر الاخبار
اخبار العتبة العباسية المقدسة