

تاريخ الرياضيات

الاعداد و نظريتها

تاريخ التحليل

تار يخ الجبر

الهندسة و التبلوجي


الرياضيات في الحضارات المختلفة

العربية

اليونانية

البابلية

الصينية

المايا

المصرية

الهندية


الرياضيات المتقطعة

المنطق

اسس الرياضيات

فلسفة الرياضيات

مواضيع عامة في المنطق


الجبر

الجبر الخطي

الجبر المجرد

الجبر البولياني

مواضيع عامة في الجبر

الضبابية

نظرية المجموعات

نظرية الزمر

نظرية الحلقات والحقول

نظرية الاعداد

نظرية الفئات

حساب المتجهات

المتتاليات-المتسلسلات

المصفوفات و نظريتها

المثلثات


الهندسة

الهندسة المستوية

الهندسة غير المستوية

مواضيع عامة في الهندسة

التفاضل و التكامل


المعادلات التفاضلية و التكاملية

معادلات تفاضلية

معادلات تكاملية

مواضيع عامة في المعادلات


التحليل

التحليل العددي

التحليل العقدي

التحليل الدالي

مواضيع عامة في التحليل

التحليل الحقيقي

التبلوجيا

نظرية الالعاب

الاحتمالات و الاحصاء

نظرية التحكم

بحوث العمليات

نظرية الكم

الشفرات

الرياضيات التطبيقية

نظريات ومبرهنات


علماء الرياضيات

500AD

500-1499

1000to1499

1500to1599

1600to1649

1650to1699

1700to1749

1750to1779

1780to1799

1800to1819

1820to1829

1830to1839

1840to1849

1850to1859

1860to1864

1865to1869

1870to1874

1875to1879

1880to1884

1885to1889

1890to1894

1895to1899

1900to1904

1905to1909

1910to1914

1915to1919

1920to1924

1925to1929

1930to1939

1940to the present

علماء الرياضيات

الرياضيات في العلوم الاخرى

بحوث و اطاريح جامعية

هل تعلم

طرائق التدريس

الرياضيات العامة

نظرية البيان
Elementary Theory of integration -The Riemann Integral
المؤلف:
Murray H. Protter
المصدر:
Basic Elements of Real Analysis
الجزء والصفحة:
91-96
30-11-2016
1042
In addition to the development of the integral by the method of Darboux, there is a technique due to Riemann that starts with a direct approximation of the integral by a sum. The main result of this section shows that the two definitions of integral are equivalent.
Definitions
Suppose that Δ is a subdivision of I ={x : a ≤ x ≤ b} with subintervals I1,I2,...,In. We call the mesh of the subdivision Δ the length of the largest subinterval among l(I1), l(I2),...,l(In). The mesh is denoted by Δ. Suppose that f is defined on I and that Δ is a subdivision. In each subinterval of Δ we choose a point xi ∈ Ii . The quantity

Is called a Riemann sum.
For nonnegative functions it is intuitively clear that a Riemann sum with very small mesh gives a good approximation to the area under the curve. (See Figure 1.1.)
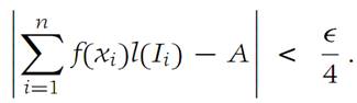
Definitions
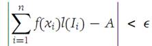
Suppose that f is defined on I ={x : a ≤ x ≤ b}. Then f is Riemann integrable on I if there is a number A with the following property: For every Ԑ> 0 there is a δ> 0 such that for every subdivision Δ with mesh smaller than δ, the inequality(1.1)

holds for every possible choice of xi in Ii . The quantity A is called the Riemann integral of f .

Figure 1.1 A Riemann sum.
Theorem 1.1
If f is Riemann integrable on I ={x:a ≤ x ≤ b}, then f is bounded on I.
Proof
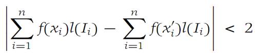
In the definition of Riemann integral, choose Ԑ = 1 and let Δ be a subdivision such that inequality (1.1) holds. We have

where x1,x2,...,xn and x/1,x/2,...,x/n are any points of I such that xi and x/iare in Ii . Therefore,

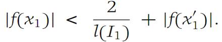
Now select xi =x/i for i = 2, 3,...,n. Then the above inequality becomes

Using the general inequality |α|−|β| < |α − β|, we obtain

Fix x/1 and observe that the above inequality is valid for every x1 ∈ I1.
Hence f is bounded on I1. Now the same argument can be made for I2,I3,...,In. Therefore, f is bounded on I.
Theorem 1.2
If f is Riemann integrable on I ={x: a ≤ x ≤ b}, then f is Darboux integrable
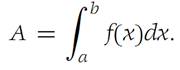
on I. Letting A denote the Riemann integral, we have

Proof
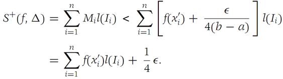
In Formula (1.1), we may replace Ԑby Ԑ/4 for a subdivision Δ with sufficiently small mesh: 1).2)

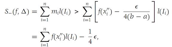
Let Mi and mi denote the least upper bound and greatest lower bound, respectively, of f in Ii . Then there are points x/iand x//I such that

These inequalities result just from the definition of l.u.b. and g.l.b. Then we have

Hence, using inequality (1.2), we obtain(1.3)

Similarly,

And(1.4)

Subtraction of inequality (1.4) from inequality (1.5) yields

thus f is Darboux integrable. Furthermore, these inequalities show that

We omit the proof of the theorem that shows that every Darboux integrable function is Riemann integrable. Thus we state the following result:
Theorem 1.3
A function f is Riemann integrable on [a,b] if and only if it is Darboux integrable on [a,b].
In light of Theorem 1.2 we shall now drop the terms Darboux and Riemann, and just refer to functions as integrable.
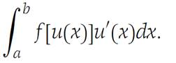
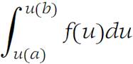
One of the most useful methods for performing integrations when the integrand is not in standard form is the method known as substitution. For example, we may sometimes be able to show that a complicated integral has the form

Then, if we set u = u(x), du = u/(x)dx, the above integral becomes

and this integral may be one we recognize as a standard integration. In an elementary course in calculus these substitutions are usually made without concern for their validity. The theoretical foundation for such processes is based on the next result.
Theorem 1.4
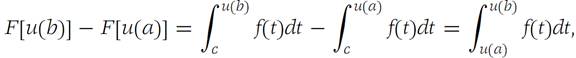
Suppose that f is continuous on an open interval I. Let u and u/be continuous on an open interval J , and assume that the range of u is contained in I. If a,b ∈ J , then(1.6)

Proof
Let c ∈ I and define(1.7)

From the Fundamental theorem of calculus(Theorem (Fundamental theorem of calculus—first form)) we have

Defining G(x) = F[u(x)], we employ the Chain rule to obtain

Since all functions under consideration are continuous, it follows that

From equation (1.7) above, we see that

and the theorem isproved.
Problems
1. (a) Suppose that F is continuous on I ={x : a ≤ x ≤ b}. Show that all upper and lower Darboux sums are Riemann sums.
(b) Suppose that f is increasing on I ={x : a ≤ x ≤ b}. Show that all upper and lower Darboux sums are Riemann sums.
(c) Give an example of a bounded function f defined on I in which a Darboux sum is not a Riemann sum.
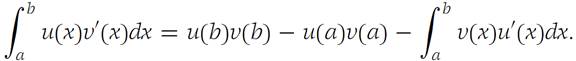
2. Suppose that u, u/, v, and v/are continuous on I ={x : a ≤ x ≤ b}. Establish the formula for integration by parts:

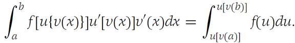
3. State conditions on u, v, and f such that the following formula is valid:

Basic Elements of Real Analysis, Murray H. Protter, Springer, 1998 .Page(91-96)
الاكثر قراءة في التحليل الحقيقي
اخر الاخبار
اخبار العتبة العباسية المقدسة
الآخبار الصحية

قسم الشؤون الفكرية يصدر كتاباً يوثق تاريخ السدانة في العتبة العباسية المقدسة
"المهمة".. إصدار قصصي يوثّق القصص الفائزة في مسابقة فتوى الدفاع المقدسة للقصة القصيرة
(نوافذ).. إصدار أدبي يوثق القصص الفائزة في مسابقة الإمام العسكري (عليه السلام)