

تاريخ الرياضيات

الاعداد و نظريتها

تاريخ التحليل

تار يخ الجبر

الهندسة و التبلوجي


الرياضيات في الحضارات المختلفة

العربية

اليونانية

البابلية

الصينية

المايا

المصرية

الهندية


الرياضيات المتقطعة

المنطق

اسس الرياضيات

فلسفة الرياضيات

مواضيع عامة في المنطق


الجبر

الجبر الخطي

الجبر المجرد

الجبر البولياني

مواضيع عامة في الجبر

الضبابية

نظرية المجموعات

نظرية الزمر

نظرية الحلقات والحقول

نظرية الاعداد

نظرية الفئات

حساب المتجهات

المتتاليات-المتسلسلات

المصفوفات و نظريتها

المثلثات


الهندسة

الهندسة المستوية

الهندسة غير المستوية

مواضيع عامة في الهندسة

التفاضل و التكامل


المعادلات التفاضلية و التكاملية

معادلات تفاضلية

معادلات تكاملية

مواضيع عامة في المعادلات


التحليل

التحليل العددي

التحليل العقدي

التحليل الدالي

مواضيع عامة في التحليل

التحليل الحقيقي

التبلوجيا

نظرية الالعاب

الاحتمالات و الاحصاء

نظرية التحكم

بحوث العمليات

نظرية الكم

الشفرات

الرياضيات التطبيقية

نظريات ومبرهنات


علماء الرياضيات

500AD

500-1499

1000to1499

1500to1599

1600to1649

1650to1699

1700to1749

1750to1779

1780to1799

1800to1819

1820to1829

1830to1839

1840to1849

1850to1859

1860to1864

1865to1869

1870to1874

1875to1879

1880to1884

1885to1889

1890to1894

1895to1899

1900to1904

1905to1909

1910to1914

1915to1919

1920to1924

1925to1929

1930to1939

1940to the present

علماء الرياضيات

الرياضيات في العلوم الاخرى

بحوث و اطاريح جامعية

هل تعلم

طرائق التدريس

الرياضيات العامة

نظرية البيان
Elementary Theory of Metric Spaces-The Schwarz and Triangle Inequalities; Metric Spaces
المؤلف:
Murray H. Protter
المصدر:
Basic Elements of Real Analysis
الجزء والصفحة:
101-106
3-12-2016
1092
In last sections we developed many properties of functions from R1 into R1 with the purpose of proving the basic theorems in differential and integral calculus of one variable. The next step in analysis is the establishment of the basic facts needed in proving the theorems of calculus in two and more variables. One way would be to prove extensions of the theorems of Chapters2–5 for functions from R2 into R1, then for functions from R3 into R1, and so forth. However, all these results can be encompassed in one general theory obtained by introducing the concept of a metric space and by considering functions with domain in one metric space and with range in a second metric space. In this chapter we introduce the fundamentals of this theory, and in the following chapters we apply the results to differentiation and integration in Euclidean space in any number of dimensions.
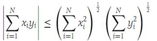
We establish a simple version of the Schwarz inequality, one of the most useful inequalities in analysis.
Theorem 1.1 (Schwarz inequality)
Let x = (x1,x2,...,xN) and y = (y1,y2,...,yN) be elements of RN. Then(1.1)

The equality sign holds if and only if either all the xi are zero or there is a number λ such that yi =λxi for i =1,2,...,N.
Proof
If every xi is zero, then the equality sign in expression (1.1) holds. Assume that there is at least one xi not zero. We form the function

which is nonnegative for all values of λ. We set

Then clearly,

From elementary calculus it follows that the nonnegative minimum value of the quadratic function f(λ) is

The statement AC−B2 ≥ 0 is equivalent to expression (1.1). The equality sign in expression (1.1) holds if f(λ) = 0 for some value of λ, say λ1;in this case yi − λ1xi =0 for every i.
We recall that in the Euclidean plane the length of any side of a triangle is less than the sum of the lengths of the other two sides. A generalization of this fact is known as the Triangle inequality. It is proved by means of a simple application of the Schwarz inequality.
Theorem 1.2 (Triangle inequality)
Let x = (x1,x2,...,xN) and y = (y1,y2,...,yN) be elements of RN. Then(1.2)

The equality sign in expression (1.2) holds if and only if either all the xi are zero or there is a nonnegative number λ such that yi =λxi for i =1,2,...,N.
Proof
We have

We apply the Schwarz inequality to the middle term on the right, obtaining

Since the left side of this inequality is nonnegative, we may take the square root to obtain expression (1.2). If all xi are zero, then equality in expression (1.2) holds. Otherwise, equality holds if and only if it holds in the application of Theorem 1.1. The nonnegativity of λ isrequired to ensure that
has all nonnegative terms when we set yi = λxi .
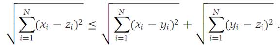
Corollary
Let x = (x1,x2,...,xN), y = (y1,y2,...,yN), and z = (z1,z2,...,zN) be elements of RN. Then(1.3)

The equality sign in expression (1.3) holds if and only if there is a number r with 0 ≤ r ≤ 1 such that yi = rxi + (1 − r)zi for i = 1,2,...,N.
Proof
Setting ai = xi −yi and bi = yi −zi for i =1, 2,...,N, we see that inequality (1.3) reduces to inequality (1.2) for the elements a =(a1,...,aN) and b = (b1,b2,...,b=). The number r is λ1/(1 + λ1) in Theorem 1.1.
Remark
The corollary to Theorem 1.2 is the familiar assertion that the sum of the lengths of any two sides of a triangle exceeds the length of the third side in Euclidean N-dimensional space. In this chapter we shall be concerned with sets or collections of elements, which may be chosen in any manner whatsoever. A set will be considered fully described whenever we can determine whether or not any given element is a member of the set.
Definition
Let S and T be sets. The Cartesian product of S and T, denoted by S × T, is the set of all ordered pairs (p, q) in which p ∈ S and q ∈ T. The Cartesian product of any finite number of sets S1,S2,...,SN is the set o ordered N-tuples (p1,p2,...,pN) in which pi ∈ Si for i = 1, 2,...,N. We write S1 × S2 ×···× SN.
Examples
(1) The space RN is the Cartesian product R1 × R1 ×···× R1 (N factors).
(2) The Cartesian product of I1 ={x : a ≤ x ≤ b} and I2 ={x : c ≤ x ≤ d} Is the rectangle T ={(x, y) : a ≤ x ≤ b, c ≤ x ≤ d}. That is,
T =I1 × I2.
Definition
Let S be a set and suppose d is a function with domain consisting of all pairs of points of S and with range in R1. That is, d is a function from S×S into R1. We say that S and the function d form a metric space when the function d satisfies the following conditions
(i) d(x, y) ≥ 0 for all (x, y) ∈ S ×S; and d(x, y) = 0 if and only if x= y.
(ii) d(y, x) = d(x, y) for all (x, y) ∈ S × S.
(iii) d(x, z) ≤ d(x, y) + d(y, z) for all (x, y, z) ∈ S. (Triangle inequality.) The function d satisfying conditions (i), (ii), and (iii) is called the metric, or distance, function in S. Hence a metric space consists of the pair(S, d).
Examples of metric spaces
-
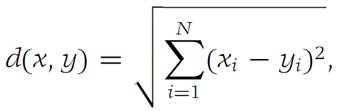
In the space RN, choose
where x= (x1,x2,...,xN) and y = (y1,y2,...,yN). The function d is a metric. Conditions(i) and (ii) are obvious, while (iii) is precisely the content of the corollary to Theorem 1.2. The pair (RN,d ) isa metric space. This metric, known as the Euclidean metric, is the familiar one
employed in two- and three-dimensional Euclidean geometry.
-
In the space RN, choose

where x =(x1,x2,...,xN) and y = (y1,y2,...,yN). The reader can verify that d1 is a metric. Therefore, (RN,d1) is a metric space. We observe that this metric space is different from the space (RN,d) exhibited in the first example.
-
Let C be the collection of all continuous functions that have I ={x :0 ≤ x ≤ 1} for domain and have range in R1. For any two elements f, g in C, define

It is not difficult to verify that d isa metric. Hence (C, d) is a metric space.
Examples 1 and 2 above show that a given set may become a metric space in a variety of ways. Let S be a given set and suppose that (S, d1) and (S, d2) are metric spaces. We define the metrics d1 and d2 as equivalent if there are positive constants c and C such that

for all x, y in S. It is not difficult to show that the metrics in Examples1 and 2 are equivalent.
-
Show that (RN,d1) is a metric space where


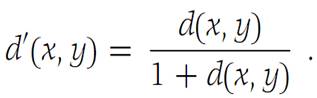
2. Suppose that (S, d) is a metric space. Show that (S, d/) is a metric space, where

[Hint: Show first that d(x, z) = λ[d(x, y) + d(y, z)] for some λ with 0 ≤ λ ≤ 1.]
Basic Elements of Real Analysis, Murray H. Protter, Springer, 1998 .Page(101-106)
الاكثر قراءة في التحليل الحقيقي
اخر الاخبار
اخبار العتبة العباسية المقدسة
الآخبار الصحية

قسم الشؤون الفكرية يصدر كتاباً يوثق تاريخ السدانة في العتبة العباسية المقدسة
"المهمة".. إصدار قصصي يوثّق القصص الفائزة في مسابقة فتوى الدفاع المقدسة للقصة القصيرة
(نوافذ).. إصدار أدبي يوثق القصص الفائزة في مسابقة الإمام العسكري (عليه السلام)