تأثير الفصل المتبادل بين الدوران والاهتزاز: جزيئات ذات تناظر محوري
المؤلف:
الدكتور محمد انور بطل
المصدر:
الفيزياء الذرية والجزيئية
الجزء والصفحة:
ص 368
15-2-2022
2342
تأثير الفصل المتبادل بين الدوران والاهتزاز: جزيئات ذات تناظر محوري
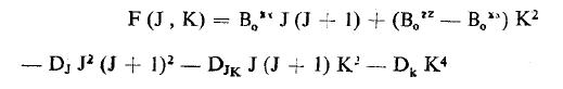
كما في الجزيئات الخطية الفعل المتبادل بين الدوران والاهتزاز يظهر بمفعولين :
a - ثوابت العطالة عند التوازن Bexx و Bezz يجب أن نستبدل ب Boxx و Bozz ثوابت العطالة في أخفض سوية اهتزازية.
b - يجب ادخال حد طيفي لتصحيح تشويه الطرد المركزي من المرتبة الثانية بالنسبة ل (1+J) J و K .
يكتب الحد الطيفي إذاً :

البنية الفوق ناعمة:
فرضنا سابقاً بأن طاقة الجزيء هي مجموعة طاقته الالكترونية Ee وطاقته الاهتزازية EV وطاقته الدورانية ER.
وبالحقيقة يجب اضافة حد Es (أصغر بكثير من ER) موافق للطاقة المرافقة مختلف توجيهات السبينات النووية في حقل كهرباني أو مغناطيسي ناتج عن الباقي من الجزيء. إن الطاقة Es محكمه والقيم المختلفة التي بمكن أن تأخذها تؤدي إلى تحليل سويات الطاقة الدورانية إلى سويات جزئية متراصة بين بعضها البعض وهذا ما يؤدي إلى البنية فوق الناعمة لجزيء .
إن البنية الفوق ناعمه هنا مشابهه البنية فوق الناعمة في الذرات إلا أن الأخيرة ناتجة عن وجود الذرات في حقل مغناطيسي أي اقتران I مع J في الجزيئات ناتجة عن ارتباط العزوم السبينية النووية مع باقي العزوم في الجزيئة وهي التي من أساس كهرباني.
الاكثر قراءة في الفيزياء الجزيئية
اخر الاخبار
اخبار العتبة العباسية المقدسة