
الادارة الهندسية

الانشاءات

الطرق والمواصلات

الموارد المائية

هندسة الجيوتكنك
البرمجة الشبكية
المؤلف:
الدكتور هنري انطوان سميث
المصدر:
تكنلوجيا ادارة المشاريع الهندسية والمقاولات
الجزء والصفحة:
صفحة 179 - 197 الفصل الثامن ( تخطيط المشروعات والجدولة الزمنية )
2023-05-17
3027
8-5 البرمجة الشبكية :Network Programming
8-5-1 هدف وفكرة البرمجة الشبكية
إن هدف البرمجة الشبكية أو التحليل الشبكي (Network Analysis) هو تحسين التحكم في تنفيذ أعمال المشروع من حيث عنصر الوقت. ويتطلب ذلك تحليل المشروع المراد تنفيذه إلى أجزاء أو أنشطة Activities) ثم يتم بعد ذلك توضيح هذه الأنشطة على هيئة شبكة تسمى شبكة مخطط الأسهم .) -Activity(On- Arrow Diagram
وهذه الشبكة تبين تسلسل تنفيذ الأعمال حسب الأولوية في التنفيذ، ويمثل كل سهم نشاطاً معيناً، ويوجد بين الأسهم دوائر صغيرة تسمى الأحداث (Events) أي: النقاط الزمنية التي يتم فيها إنجاز أنشطة ويصبح من الممكن البدء بالأنشطة التي تعقبها، وتتطلب هذه الطريقة تقدير المدة الزمنية لتنفيذ كل نشاط على حده ومن ثم تحديد المدة الزمنية المطلوبة لإكمال المشروع.
وبواسطة هذه الحسابات يمكن تحديد الأنشطة التي يجب أن تنفذ في أوقات محددة ولا يوجد مجال لتأخيرها إذا رغب في إكمال المشروع في موعده، وتسمى هذه الأنشطة الحرجة Critical Activities) ويسمى المسار الذي تقع عليه هذه الأنشطة الحرجة بالمسار الحرج Critical Path Method pm) وطريقة المسار الحرج (Cpm) تعملي تقديراً واحداً لكل نشاط، أما بالنسبة لطريقة بيرت (Pert) فقد اعتمدت على نظرية الاحتمالات لعلاج مشكلة عدم التأكد من زمن انتهاء كل نشاط أو عملية وبالتالي زمن انتهاء المشروع. ولهذا اعتمدت نظرية بيرت على ثلاثة تقديرات هي:
"المدة التفاؤلية" المدة التشاؤمية، والمدة الأكثر احتمالاً.
وقد ظهر منهج آخر لرسم شبكة الأعمال وهو مخطط الخانات - Activity On- Node Diagram) ويسمى أيضاً مخطط التتابع (Precedence Diagram) الذي يمثل فيه كل نشاط مستطيل بدلاً من سهم، وقد ساهم تطوير الحاسبات الآلية كثيراً في تطوير أساليب شبكات الأعمال وتوسيع مجالاتها وشيوع استعمالها.
8-5-2 خطوات إعداد ورسم المخطط الشبكي
1- تحديد جميع الأنشطة أو العمليات التي يتكون منها المشروع.
2- تحليل التسلسل المنطقي لجميع الأنشطة حسب عملية التنفيذ لكل نشاط.
3- تحديد الزمن اللازم لتنفيذ كل نشاط ورسم جدول لذلك وتحديد الزمن البدائي والنهائي لكل عملية.
4- رسم مخطط شبكي يبين هذه الأنشطة حسب الترتيب المنطقي لعملية التنفيذ.
5- تحديد الموارد اللازمة للمشروع سواءً أكانت بشرية أم مادية. في مخطط الأسهم يمثل كل نشاط بسهم واحد ويقع كل من طرفي السهم عند دائرة صغيرة تسمى حدثاً، كما في شكل (1):

شکل 1
وليس من الضروري اعتبار طول السهم متناسباً مع مدة النشاط، وعند وصل الأسهم حسب التسلسل المنطقي هناك عدة أسئلة يجب الإجابة عليها قبل عملية الوصل وهي:
1- أي العمليات أو النشاطات يجب أن تنتهي قبل البدء بتنفيذ العملية الجديدة.
2- أي العمليات لا يمكن أن تبدأ قبل الانتهاء من تنفيذ هذه العملية.
3- أي العمليات لا يوجد لها علاقة منطقية بتسلسل هذه العملية ولكن يمكن أن نبدأ بتنفيذها في نفس الوقت.
فهنا لابد من ترقيم الحوادث من البداية حتى النهاية بحيث يكون هذا الترقيم مرتباً حسب الأولوية.
8-5-3 عناصر الشبكة
إن الأساس في البرمجة الشبكية هي الشبكة (Network) والتي يمكن أن تعرف بأنها : " مجموعة من الأسهم المتصلة والممثلة لفعاليات المشروع والموضحة للأسس والروابط المنطقية فيما بينها"، أما عناصر الشبكة فهي:
أ- النشاط :Activity
يعرف بأنه جزء من المشروع يمكن اعتباره وحدة قائمة بحد ذاتها تحتاج إلى قدر معين من العمل ينجز في فترة زمنية محددة باستخدام موارد مختلفة. إن كل نشاط مرتبط بشكل معين ببداية ونهاية المشروع وبباقي فعالياته الأخرى، كما أن احتياج النشاط لزمن إنجازه يشير إلى وجود بداية ونهاية له.
ب- الحدث :Event
يمكن تعريف الحدث بأنه : لحظة زمنية تشير إلى ابتداء أو انتهاء النشاط، ولا يحتاج الحدث إلى زمن أو موارد.
ج- النشاط الوهمي :Dummy Activity
وهو عبارة عن سهم أو نشاط افتراضي ليس له مدة زمنية، ولا تستخدم فيه موارد، ويدل هذا السهم أو النشاط على تتابع عمل ، ولتمييز النشاط الوهمي عن النشاط الاعتيادي فإنه يرسم بشكل سهم ذي خطوط متقطعة، ويفيد استخدام النشاط الوهمي في التخلص من إشكالات وجود أكثر من فعالية مشتركة بين حادثتين متتاليتين، ويعمل على توضيح العلاقات بين النشاطات التي لا تشترك بنفس أحداث البداية والنهاية، ويمكن توضيح النشاط الوهمي بالأمثلة التالية:
مثال (1)
نفترض أن لدينا الأنشطة الأربعة التالية :
1 - فك قوالب القاعدة (أ). 2- ردم القاعدة (أ).
3- حفر القاعدة (ب). 4- تركيب قوالب القاعدة (ب).
إن البدء بنشاط تركيب" قوالب القاعدة ب يتوفق" على إنهاء" فك قوالب القاعدة أ" ، و "حفر القاعدة ب" كليهما والبدء بنشاط" ردم القاعدة أ" يتوقف على إنهاء" فك قوالب القاعدة ، " ، فهل نبين ذلك بالشكل التالي، شكل (1)

شكل 1
يتضح أن ذلك خطأ لأنه يصور أن البدء بنشاط "ردم" القاعدة أ" يتوقف على إنهاء "فك قوالب القاعدة ،أ"، و "حفر القاعدة ب" كليهما وليس على إنهاء "فك قوالب القاعدة .أ" فقط. والحل الصحيح هو إضافة سهم افتراضي منطقي وحدث جديد كما في الشكل (2) .

شكل 2
ويلاحظ في شكل رقم (1) أن هناك مسارات وهي:
1- فك قوالب القاعدة أ + ردم القاعدة أ.
2- فك قوالب القاعدة أ + تركيب قوالب القاعدة ب.
3- حفر القاعدة ب + القاعدة أ. ردم
4- حفر القاعدة ب + تركيب قوالب القاعدة ب.
بينما يشمل الرسم الصحيح في شكل (2) ثلاثة مسارات وهي:
1- فك قوالب القاعدة أ + ردم القاعدة أ.
2- فك قوالب القاعدة أ + السهم الافتراضي + تركيب قوالب القاعدة ب .
3- حفر القاعدة ب + تركيب قوالب القاعدة ب.
وهكذا نرى أن إغفال استعمال السهم الافتراضي المنطقي اللازم أدى إلى إيجاد مسار ،زائد مما قد يؤدي إلى نتائج غير صحيحة.
مثال (2)
لنفترض أننا نريد ا استكمال رسم جزء المخطط المبين في شكل 2 نجد أن هناك نشاطين آخرين هما: "التخطيط المساحي للقاعدة ج" و حفر القاعدة ج" وأن "حفر "القاعدة" ج" يمكن البدء به بعد إنهاء "حفر القاعدة ب" و "التخطيط المساحي للقاعدة ج"، فكيف يمكن إضافة هذين النشاطين إلى رسم المخطط هل يصبح الرسم كما في شكل (3)

شكل 3
هذا الرسم خطأ لأنه يجعل بدء حفر القاعدة ج متوقفاً على انهاء فك قوالب القاعدة أ ايضاً , والحل هو كما في شكل 4

شكل 4
ويسمى السهم الافتراضي الذي اضيف بين نشاط حفر القاعدة ب ونشاط تركيب قوالب القاعدة ب مفرقاً منطقياً Logic spreader
د- المسار Path:
تشكل النشاطات الاعتيادية أو (الوهمية المتصلة ببعض من بداية الشبكة إلى نهايتها، بدون تفرع مساراً في الشبكة. اعتيادياً يوجد في الشبكة أكثر من مسار، ويمكن أن يشترك النشاط الواحد في أكثر من مسار كما في شكل (2).
هـ - العملية الحرجة : ( Critical Activity)
هي العملية التي تقع على المسار الحرج والتي ليس لها فترة سماح (Float
و- المسار الحرج (Critical Path)
هو أطول مسافة من النشاطات (العمليات التي تقع بين بداية ونهاية أي مشروع والتي تحدد أقصر زمن ممكن : ( هي سلسلة الأنشطة التي تساوي السماح الكلي وكل منها يساوي صفراً وذلك من بداية المشروع إلى نهايته).
8-5-4 قواعد عامة في رسم الشبكة
1- يجب ترقيم الحوادث (Event) من البداية حتى النهاية ويجب أن يكون هذا الترقيم مرتباً حسب الأولوية. شكل (25)
يدل على أن نشاط B يجب أن يبدأ عن انتهاء نشاط A.

شكل (5)
2- لا توجد فعاليتان لهما نفس حادثتي البداية والنهاية وفي حالة حدوث مثال ذلك كما في شكل (6) ، يجب إدخال فعالية وهمية Dummy Activity) بين نهايتي الفعاليتين.
3- وترسم الفعالية الوهمية في الشبكة بشكل سهم ذي خطوط متقطعة كما في شكل (7).

شكل 6
4- هذه الحالة يوجد النشاطان A ويجب تنفيذها قبل النشاط B ، علماً بأن كل سهم يجب أن يكون بين حدثين وأنه يجب أن يكون للمشروع بداية واحدة. إن الرسم في شكل (6)، رغم أنه صحيح، يؤدي إلى التباس، حيث إن كـل سـهـم سـوف يشار إليه بحدثي ذيله ورأسه فيصبح للسهمين في هذه الحالة تسمية A, واحدة، ولحل هذه المشكلة تستخدم وسيلة جديدة هي سهم افتراضي للتعريف (Identification Dummy) ويرسم بخط متقطع وليس له مدة زمنية، وبذلك يتم تلافي وجود سهمين لهما نفس الحدثين (1) (2) إلا أن استخدام هذا السهم الافتراضي سيضطرنا أيضاً إلى استخدام حدث جديد يعطي الرقم (2) كما في شكل (7).

شكل 7

شكل 8

شكل 9
5- لا يمكن الرجوع الى بداية أحد الانشطة شكل ( 10 )

شكل 10
6- يجب استخدام الاسهم الافتراضية بحرية وبدون تردد
7- يكتب وصف النشاط فوق الجزء الأفقي من السهم.
8- لا يمكن البدء بنشاط خارج من حدث ما، ما لم تنته كل النشاطات التي تكون نهاياتها مشتركة مع ذلك الحدث، وتسمى هذه النشاطات بالفعاليات الممهدة.

شكل 11
في شكل (11) النشاط (9 - 10) لا يمكن البدء به ما لم تنته النشاطات الممهدة (6- 9, 7- 9 , 8 -9) ويمكن الاستفادة من هذه القاعدة في إعداد الحسابات الزمنية المختلفة للشبكة.
9- في حالة اعتماد عدد من النشاطات على انتهاء نشاط ما يسبقها بالضرورة، فإن أياً من هذه النشاطات لا يمكن البدء إلا بعد انتهاء النشاط الذي يسبقه (أي بعد انتهاء النشاط الممهد).

شكل 12
في الشكل 12 أي من النشاطات (6-7-8 , 6-9 )لا يمكن البدء به الابعد انتهاء النشاط الممهد (5-6)
10- النشاط C يعتمد على النشاطين A,B كما هو في شكل 13

شكل 13
11- يعتمد النشاطان D,C على النشاطين B,A معاً كما في شكل (14) .

شكل 14
مثال 1 :
ارسم مخطط أسهم يمثل النشاطات التالية :

الحل :

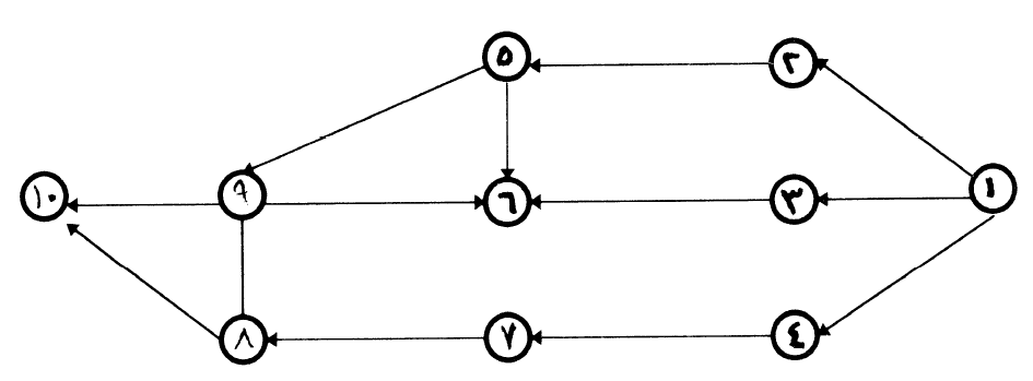
مثال 2 :
ارسم مخطط الاسهم المكون من الانشطة التالية :
](المخطط يبدأ بالحدث رقم (1) وينتهي بالحدث رقم (10) [

الحل :

8-5-5 تحليل الازمنة : Time analysis
الغرض من تحليل الأزمنة، هو إنجاز الفعاليات أو النشاطات حسب جدول زمني يحدد وقت الابتداء ووقت الانتهاء وإمكانية تأخير الابتداء لكل نشاط العامل الأساسي في تحليل الأزمنة هو زمن أو مدة إنجاز النشاط .Activity Duration
ويمكن قياس زمن النشاط بأي وحدات زمنية ملائمة مثل ,دقيقة ,ساعة , يوم , أسبوع... إلخ، وحسب ما يلائم نشاطات المشروع، ويدخل زمن النشاط من الشبكة برقم يوضع تحت السهم الممثل لذلك النشاط كما في شكل (15) .

شكل 15
تعريفات :
1- زمن البداية المبكر (Earliest start :Es)
أبكر وقت ممكن للبدء بالنشاط في حالة اخذ الوقت اللازم للأنشطة التي تسبقه بعين الاعتبار.
2- زمن النهاية المبكرة (Earliest finish) (Ef)
أبكر وقت ممكن لإنهاء النشاط , وهو مجموع مدة النشاط وبدايته المبكرة.
3- مدة المشروع :Project Duration
هي أقصر مدة تلزم لإنجاز المشروع طبقاً لتسلسل الأنشطة المخطط لها وباستخدام وسائل الإنشاء المتوفرة.
4- زمن البداية المتأخرة Ls) Latest Start)
آخر وقت ممكن للبدء بالنشاط، وهو نتيجة طرح مدة النشاط من نهايته المتأخرة.
5- زمن النهاية المتأخرة Lf) Latest Finish)
آخر وقت ممكن لإنهاء النشاط بحيث يبقى بالإمكان إنهاء المشروع بكامله في التاريخ المحدد له.
6- زمن السماح الكلي Tf) Total Float)
هو مقدار تأخر إنهاء النشاط عن وقت نهايته المبكرة الممكنة بدون التسبب بإطالة مدة المشروع.
7- زمن السماح الحر (Ff) Free Float
هو مقدار تأخر إنهاء النشاط عن وقت نهايته المبكرة الممكنة بدون التسبب بتأخير البداية المبكرة لأي نشاط لاحق
8- زمن السماح المستقل Independent Float
هو الزمن الذي ما زال متوفراً بين نهاية العملية وبداية العملية التي بعدها. ويتم وضع كل من هذه الأزمنة كما في الشكل (16) التالي:

شكل 16
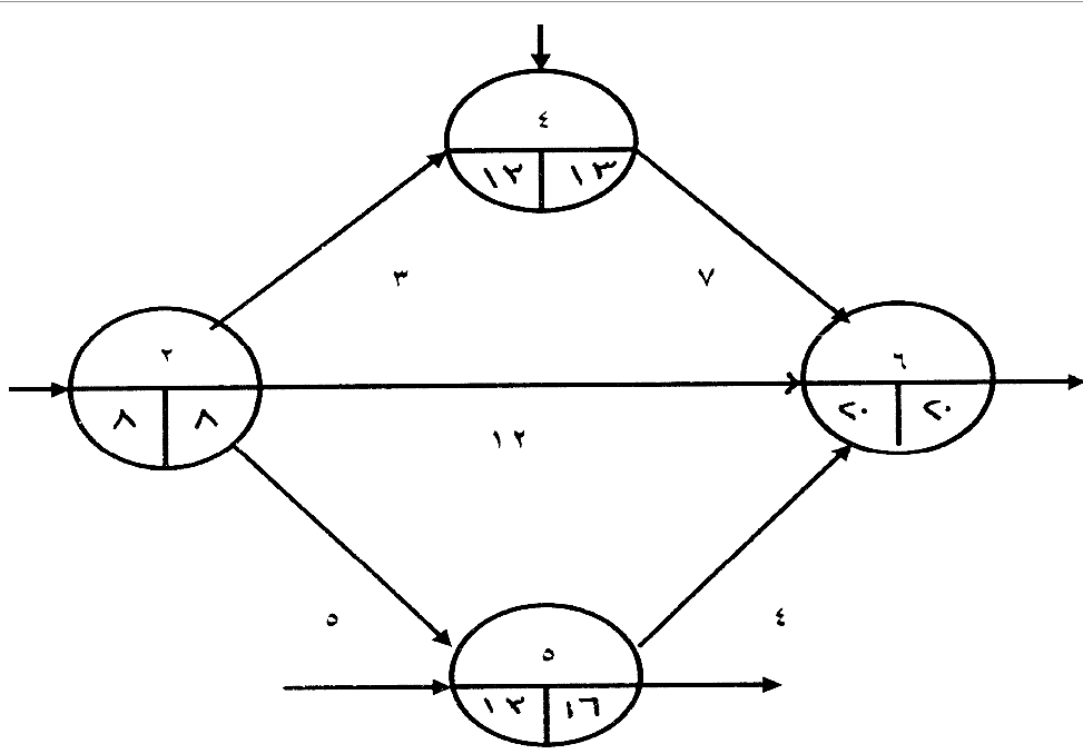
حسابات ازمنة السماح :
يمكن حساب أزمنة السماح للشبكة Network كما هي مبينة في المثال التالي :

أ- السماح الكلي (TD Total Float
السماح الكلي (TF) - زمن البداية المبكرة - (ES) زمن النشاط
السماح الكلي للنشاط (2-4) = 13-8-3 = 2
السماح الكلي للنشاط (2-6) = 20-8-12 = 0 (نشاط حرج)
السماح الكلي للنشاط (2-5) = 16-8-5 = 3
السماح الكلي للنشاط (4-6) = 20-12-7 = 1
السماح الكلي للنشاط (5-6) = 20-13-4 = 3
ب السماح الحر (Ff Free Float
السماح إلى (FF) يساوي
زمن النهاية المبكرة (Ef) - زمن البداية المبكرة (Es) - زمن النشاط
السماح إلى النشاط (2- 4) = 12-8-3 = 1
السماح إلى النشاط (2- 6) = 20-8-12 = 0
السماح إلى النشاط (2- 5) = 13-8-5 = 0
السماح إلى النشاط (4 - 6) = 20-12-7 = 1
السماح إلى النشاط (5-6) = 20-13-4 = 4
ج السماح المستقل (If) :(Independent Float)
السماح المستقل (If) يساوي
زمن النهاية المبكرة (EF) - زمن النهاية المتأخرة (Lf) زمن النشاط
السماح المستقل للنشاط (2- 4) = 12-8-3=1
السماح المستقل للنشاط (2-6) =20-8-12=0
السماح المستقل للنشاط (2-5) = 13-8-5=0
السماح المستقل للنشاط (4-6) = 20-13-7=0
السماح المستقل للنشاط (5-6) = 20-16-4=0
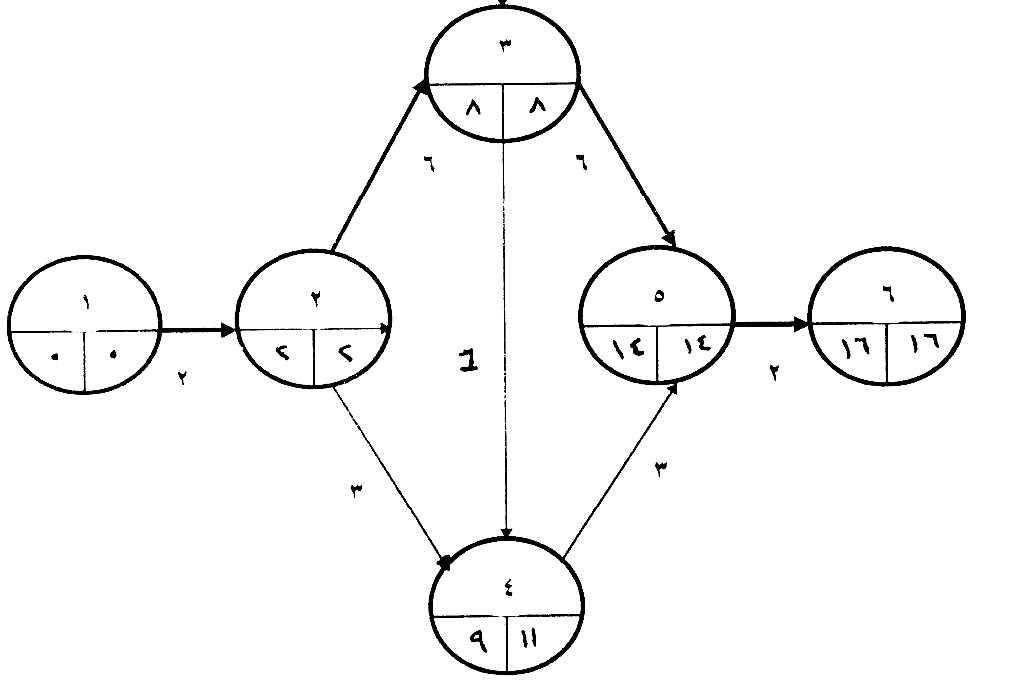
مثال:
- احسب الزمن الأول والأخير لكل حدث.
- بين خط المسار الحرج.
- احسب السماح الكلي، السماح الحر، والسماح المستقل.
- بين هذه النشاطات على شكل جدول الخطوط الشريطية.

الحل:


8-5-6 طريقة بيرت Pert Performance Evaluation Review Technique
من المعروف أن طريقة بيرت استحدثت في الأصل لمتابعة تقدم العمـل ولـيـس لإعداد خطة العمل، ولكنها تطورت حسب متطلبات التخطيط وأصبحت تستعمل في وضع الخطط للمشروعات. وتستعمل طريقة بيرت في أعمال التصميم والتطوير وكذلك المشروعات الدفاعية، وتمتاز على طريقة المسار الحرج (Cpm) عندما يكون الوقت اللازمة لتنفيذ الأعمال من الصعب تحديده نتيجة لظروف غير مرئية، والفرق الرئيسي بين الطريقتين هو أن طريقة بيرت تنظر إلى موضوع تقدير المدد الزمنية واعتمادها لنظرية الاحتمالات (Probability) .
لقد اعتمد المشروع الذي استحدثت طريقة بيرت لمتابعة تنفيذه على أبحاث و دراسات تستغرق مدداً لا يمكن معرفتها مسبقاً بدرجة كافية من الدقة، ولهذا اعتمدت بيرت في تحديد زمن النشاط على إعطاء ثلاثة تقديرات، واعتبار أن الأزمنة هي متغيرات تعتمد على نظرية الاحتمالات، والتقديرات الثلاثة هي:
1- التقدير الأكثر تفاؤلاً Most Optimistic Time
وهو تقدير الحد الأدنى للزمن الممكن أن يستغرقه النشاط عندما تكون كل الظروف إيجابية ومتاحة.
2- التقدير الأكثر احتمالاً :Most Likely Time
وهو تقدير الزمن الضروري الأكثر احتمالاً لتنفيذ النشاط، وهو التقدير الاعتيادي الذي يشعر المنفذ بأنه الأنسب لإنجاز النشاط في الظروف الاعتيادية.
3- التقدير المتشائم :Pessimistic Time
وهو تقدير أقصى زمن يمكن أن يستغرقه تنفيذ النشاط في أسوأ الظروف. والمقصود بالظروف السيئة وجود المعوقات والعوامل المعرقلة للعمل والناشئة عن طبيعة النشاطات ذاتها، ويدخل في الحسبان أيضاً فشل التنفيذ أو جزء منه وإعادة التنفيذ من جديد، ولا يدخل ضمن التقدير المتشائم الحوادث غير الاعتيادية كنشوب الحروب أو الكوارث .
إن التقديرات الزمنية الثلاثة تحدد منحنى التوزيع الاحتمالي لزمن النشاط. وقد وجد أن هذا المنحنى يكون قريباً لمنحنى يسمى بمنحنى توزيع "بيتا" ( Beta Distribution) وهذه الفرضية لم تبرهن رياضياً إلا أنها أقرب إلى الواقع. ويمثل هذا المنحنى العلاقة بين مدة النشاط واحتمال حصولها شكل (17).

شكل 17 منحنى توزيع بيتاً
وعند التحدث عن منحنى التوزيع الاحتمالي لزمن النشاط فإن الزمن (ح) هو الزمن الأكثر احتمالاً بينما الزمن (ف) هو الزمن المتفائل، والزمن (ش) هو الزمن المتشائم. وحسب خواص منحنى توزيع "بيتا"، فإن الفرق الزمني بين الزمن المتفائل والزمن الأكثر احتمالاً لا يشترط أن يكون مساوياً للفرق الزمني ما بين الزمن المتشائم والزمن الأكثر احتمالاً وإن الزمن المتوقع (م) Expected Time الذي يستغرقه إنجاز النشاط يكون مساوياً للمتوسط الحسابي المرجح بالأوزان للتقديرات الزمنية الثلاثة، وذلك طبقاً للمعادلة التالية:

م: المدة المتوقعة
ف: المدة التفاؤلية
ح: المدة الأكثر احتمالاً
ش: المدة التشاؤمية
مثال:
نفترض أن هناك نشاطاً، وتقديرات مدته كما يلي:
ف = 5 أيام
ح = 7 أيام
ش = 15 يوماً
تكون المدة المتوقعة (م) لهذا النشاط :

وهذه النتيجة تعني أن هناك احتمال %50% أن يتم هذا النشاط خلال 8 أيام، واحتمال أن يستغرق أكثر من 8 أيام يتساوى مع احتمال أن يستغرق أقل من 8 أيام. ولو تم تنفيذ هذا النشاط عدة مرات يكون معدل المدة التي يستغرقها 8 أيام. وبعد أن يتم حساب المدة المتوقعة لكل نشاط تستعمل هذه الأزمنة لإجراء حسابات الأوقات على المخطط الشبكي
الاختلافات بين طريقة المسار الحرج (Cpm) وبيرت : (Pert)
إن كلا الأسلوبين طريقة المسار الحرج (Cpm) وأسلوب تقييم ومتابعة المشاريع Performance Evaluation Review Technique (Pert) لهما نفس المبادئ الأساسية سواء في شكل وطرق تهيئة الشبكات، والحسابات الزمنية للمسارات أو في التطبيق العملي لهما مع وجود اختلافات جزئية، وذلك في اعتماد أسلوب تقييم ومتابعة المشروعات على احتمالات وتوقعات زمنية ثلاثة لإنجاز كـل فعالية في المشروع بينما تعتمد طريقة المسار الحرج على توقع زمني واحد لتنفيذ نشاطات المشروع، مع أن كلا الأسلوبين قد يعتمد على الإحصائيات للمشاريع المماثلة المنجزة مسبقاً في تقدير الأزمنة. من ذلك نستطيع وصف أسلوب تقييم ومتابعة المشاريع بأنه أسلوب احتمالي (Probabilistic) بينما تتصف طريقة المسار الحرج بأنها أسلوب محدد (Deterministic) من دراسة كلا الأسلوبين نجد أن النشاطات هي الموجهة في أسلوب المسار الحرج بينما نجد أن الحوادث أو احتمالات التنبؤ بابتداء وانتهاء كل فعالية هي الموجهة في أسلوب بيرت.
8-5-7 استعمال الحاسوب في طريقة المسار الحرج
يستعمل في عصرنا الحاضر الحاسوب (الكمبيوتر) بشكل واسع في إعداد برنامج المشروع الهندسي وتحديثه كلما كانت هناك حاجة لذلك، خاصة المشروعات الكبيرة، ومن الجدير بالذكر أنه لا يستفاد من الحاسوب في تحليل المشروع إلى أنشطة وتحديد تسلسلها وتقدير ما يحتاجه كل نشاط من وقت حيث إن رسم خطة العمل وتقدير الأزمنة للنشاطات يتطلب خبرة ومعرفة جيدة. وبعد أن يتم وضع خطة العمل يصبح إجراء الحسابات عملاً آلياً بسيطاً لا يحتاج إلى الكثير من التفكير ويمكن الاستعانة عليه باستخدام الحاسوب.
ويمكن أن يقوم الحاسوب بالأعمال التالية:
1- حسابات المخطط الشبكي وتحديد الزمن الكلي للمشروع.
2- تحويل الأوقات من وحدات زمنية إلى تواريخ.
3- رسم المخطط الشبكي (Network) ورسم جدول المستقيمات (Bar Chart
4- تحليل العلاقة بين مدة المشروع وتكاليفه.
5- إعداد جداول العمال والمعدات والمواد.
6- إعداد بيانات عن تقدم العمل.
7- تحديث البرنامج الزمني كلما تطلب الأمر ذلك.
فوائد استعمال الحاسوب
1- توفير الوقت، ففي المشروعات الكبيرة يكون إجراء الحسابات يدوياً غير عملي.
2- إن تحليل بعض العلاقات كالتي بين مدة المشروع وتكاليفه وكيفية توزيع الموارد وضبط التكاليف لا يمكن إجراؤها عملياً إلا بواسطة الحاسوب.
3- استعمال الحاسوب يسهل عملية إعداد وتقييم عدة خطط بديلة واختيار أفضلها.
4- يمكن بواسطة الحاسوب ترتيب نتائج الحسابات بطرق مختلفة والحصول على عدة جداول محتوية على المعلومات المطلوبة مرتبة حسب الحاجة وبطريقة سهلة وسريعة.
5- إن تخزين معلومات شبكة الأعمال في الحاسوب يجعل من السهل تحديث برنامج المشروع أثناء تقدم تنفيذه.
الحاجة لاستعمال الحاسوب
قبل اتخاذ القرار باستعمال الحاسوب أو إجراء الحسابات يدوياً يجب أخذ النقاط التالية في الاعتبار
1- كلما كان حجم المشروع كبيراً كلما كانت شبكة الأعمال كبيرة، وبالتالي فإن هناك حاجة ماسة لاستخدام الحاسوب.
2- توفر البرامج الجاهزة والحاسوب بتكلفة معقولة يشجع على استخدام الحاسوب في التخطيط الشبكي .
3- إذا كان يراد إجراء تحديث الشبكة دورياً مع إعداد تقارير مختلفة فيفضل استعمال الحاسوب.
4- عندما يطلب إجراء تحليلات للعلاقات بين مدة المشروع وتكاليفه وتوزيع الموارد، وضبط التكلفة، أو إجراء حسابات الاحتمال كما في طريقة بيرت، يفضل استعمال الحاسوب.
5- في حالة استعمال مخطط تتابع (Precedence Diagram) يحتوي على وصلات تتابع مع فترات تأخير فإن الحسابات تكون أكثر تعقيداً وبالتالي يفضل استعمال الحاسوب.
برامج الحاسوب الجاهزة
يمكن شراء برامج جاهزة واستعمالها بحيث يقوم الحاسوب بالمعالجة المطلوبة بما في ذلك قراءة المعلومات المدخلة، والفحص للتأكد من عدم وجود أخطاء وإجراء الحسابات وتصنيف وطباعة البيانات ورسم المخطط الشبكي (Network) وجدول المستقيمات (Bar Chart وتختلف البرامج الجاهزة بعضها عن بعض من نواحي عدة، وكل برنامج له ميزات خاصة وطاقة استيعابية محددة تتراوح من بضع مئات إلى مئات الألوف من الأنشطة. لذا ينبغي قبل شراء برنامج جاهز دراسة ومقارنة ميزات البرامج الجاهزة المختلفة المتوفرة واختيار ما يلائم المشروع بحيث يلبي احتياجات إدارته، ومن بين البرامج المتوفرة في الوقت الحالي:
• Primavera Project Planner.
• Artemis.
• Ca- Super Profect.
Micro Plaanner.
• Instaplan.
• Hornet 50001 Project.
• Microsoft Project.
• Open Plan.
• Pertmaster Advance.
• Project Manager Workbench.
• Project Scheduler 5.
الاكثر قراءة في الادارة الهندسية
اخر الاخبار
اخبار العتبة العباسية المقدسة
الآخبار الصحية

قسم الشؤون الفكرية يصدر كتاباً يوثق تاريخ السدانة في العتبة العباسية المقدسة
"المهمة".. إصدار قصصي يوثّق القصص الفائزة في مسابقة فتوى الدفاع المقدسة للقصة القصيرة
(نوافذ).. إصدار أدبي يوثق القصص الفائزة في مسابقة الإمام العسكري (عليه السلام)