
الادارة الهندسية

الانشاءات

الطرق والمواصلات

الموارد المائية

هندسة الجيوتكنك
البرمجة الشبكية
المؤلف:
الدكتور موسى احمد خير الدين
المصدر:
ادارة المشاريع المعاصرة
الجزء والصفحة:
ص 165- 172 الفصل السادس
2023-05-25
2693
البرمجة الشبكية Network Programming
تعرف الشبكة Network على أنها تمثيل بياني Graphical Presentation لأنشطة المشروع بطريقة تبين التسلسل والتتابع المنطقي Sequence لأنشطة المشروع والأوقات اللازمة لتنفيذ هذه الأنشطة من لحظة بداية المشروع وحتى نهايته، مع توضيح المسارات المحتملة لإنهاء المشروع والمسار الحرج (Critical Path (CP الذي يمثل أطول هذه المسارات لإتمام المشروع.
- عناصر الشبكة Network Elements
تتكون الشبكة من العناصر التالية :
1. النشاط Activity :
وهو أحد وظائف المشروع والذي يتطلب إكماله كمية محددة من الوقت والموارد. وتتمتع أنشطة المشروع بالخصائص التالية:
خصائص الأنشطة في المشروع:
• التتابع Sequence
يتكون المشروع من عدد من الأنشطة التي يجب أن يتم إكمالها بطريقة محددة ومنتظمة ومتتابعة، وتتابع الأنشطة نابع من المتطلبات الفنية لإنجاز المشروع وليس من الرغبات الإدارية، وبتحديد التتابع من المفيد أن ننظر إلى الأنشطة بمنظور المدخلات والمخرجات لأن مخرجات بعض الأنشطة قد تكون مدخلات لأنشطة أخرى كما أن تحديد التتابع يتأثر بقيود الموارد Resource Constrains والتي قد تتطلب أن يقوم شخص واحد بإنجاز النشاطين ولذا فان عليه أن ينهي النشاط الأول حتى يستطيع أداء النشاط الثاني.
• التفرد: Uniqueness
أنشطة أي مشروع هي بالتأكيد أنشطة فريدة لأنها لم ولن تستخدم بنفس الطريقة في المشاريع الأخرى حتى لو تشابهت ظاهرا، ولتوضيح ذلك لو افترضنا أن هناك مشروعين متماثلين (ولنقل بناء فيلا عدد (2 وهما مشروع A2 A1 وكان المشروعان متماثلان من حيث التصميم والشكل والمكونات... الخ، فإن الأنشطة التي ستستخدم في بناء المشروع A1 ستختلف بالتأكيد عن الأنشطة التي ستستخدم في بناء المشروع A2 سواء من حيث وقت النشاط، أو كلفة النشاط أو الموارد المستخدمة في اكمال نشاط أو كفاءة العاملين أو مستوى الإنجاز والمواصفات أو من حيث طبيعة اختلاف الزبون... الخ وعليه فإنه حتى لو تشابهت بعض الأنشطة في المشروع أو طريقة أدائها فإن مجموع الأنشطة التي انجزت المشروع لا يمكن أن تتطابق مع المشروع الآخر.
• التعقيد Complexity
تمتاز أنشطة المشروع بالتعقيد وعدم البساطة لأنها تكون متكررة أحيانا، وتشمل أكثر من مرحلة وتتداخل مع أنشطة أخرى أحيانا أخرى، فمثلا يحتاج دهان منزل إلى عمليات حف الجدران ثم معجنتها وتنعيمها وبعد ذلك يتم دهان الأساس ، والدهان النهائي والذي قد يكون لون واحد أو مزيج ألوان، وتتداخل أعمال الدهان مع الكهرباء وأعمال الحدادة وأعمال النجارة.... الخ وهذا يجعلها أنشطة معقدة.
• الترابط Connectivity
ينتج ترابط الأنشطة من أن بعضها يتتابع، بحيث لا يمكن البدء بنشاط مـا إلا بعـد إكمال النشاط الذي يسبقه، أو أن نشاطا معينا سوف يتأخر لأن بعض الأنشطة التي يُشترط إكمالها لأداء هذا النشاط تأخرت فمثلا في مشروع إكمال الدراسة الجامعية فان الطالب لا يستطيع أن يقوم بتسجيل ودراسة مساق معين إلا إذا أتم إنهاء مساق يسبقه ويصطلح على تسميته بالتعبير الدارج أنّ المادة A تفتح للمادة B، مثال آخر لا يمكن أن تبدأ الأدوار النهائية لبطولة ما في كرة القدم قبل إكمال الأدوار التمهيدية لها...... وهكذا.
• الاعتمادية Dependency
إن تتابع الأنشطة Sequence وترابطها Connectivity بجعل هذه الأنشطة معقدة وتعتمد بدرجة كبيرة على بعضها البعض.
طرق رسم النشاط:
ويمكن رسم . النشاط على الشبكة بأحد طريقتين كما هو موضح في الشكل 6-2
• النشاط على السهم Activity on Arrow.
• النشاط على القطب Activity on Node.

2. الحدث Event: وهو لحظة البدء بنشاط معين أو لحظة الانتهاء منه، والحدث هو نتيجة نشاط أو أكثر والنشاط يقع بين حدثين. ويتم رسم الحدث بطريقة معاكسة للنشاط فإذا كان النشاط على السهم يكون الحدث على القطب (الدائرة او المربع والعكس صحيحاً فإذا كان النشاط على القطب المربع او الدائرة) يكون الحدث على السهم.
3. المسار Path: وهو عبارة عن سلسلة من الأنشطة المتتابعة التي تربط بين نقطة البدء بالمشروع ونقطة إتمامه ككل. ويكون للمشروع أكثر من مسار.
4. المسار الحرج (Critical Path (CP وهو سلسلة من الأنشطة الحرجة المتتابعة التي تربط بين نقطة بدء المشروع ونقطة نهايته، وهو أطول المسارات على الشبكة المكونة لنشاط المشروع ككل. ورغم أن المسار الحرج يمثل أطول المسارات على الشبكة، إلا أنه يشكل أفضل وقت لإتمام المشروع بشكل كامل.
5. النشاط الحرج Critical Activity وهو النشاط الذي يترتب على تأخيره تأخير المشروع ككل.
6. النشاط الوهمي Dummy Activity : وهو نشاط ليس له وجود، ويستخدم فقط لتسهيل رسم الشبكة وبيان العلاقة بين الأحداث فهو لا يحتاج إلى وقت ولا إلى موارد، ويرسم على الشبكة على شكل سهم منقط.
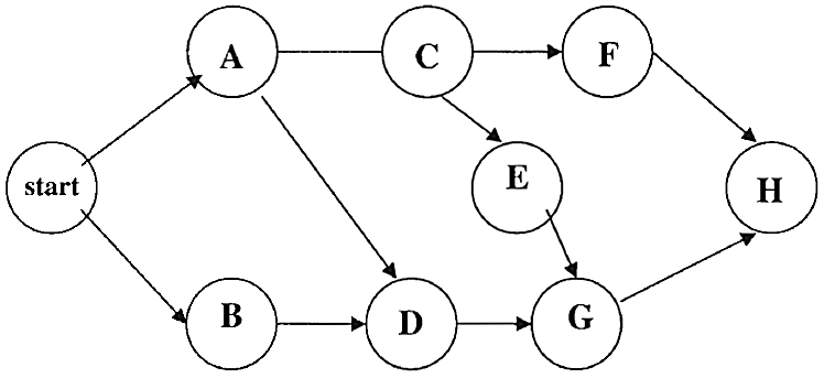
مثال 6-2 رسم شبكة المشروع
طلب من أحد المطابع القيام بتركيب محرقة ،ورق لتلبية شروط وزارة البيئة، وقد تم إعداد دراسة حول الأنشطة المطلوبة ومدى تتابعها كما يظهر في جدول 6-2
جدول 6-2
تركيب محرقة ورق
.
المطلوب:
- رسم شبكة المشروع باستخدام طريقة النشاط على السهم (AOA) .
- رسم شبكة المشروع باستخدام طريقة النشاط على القطب (AON)
الحل:
1. رسم شبكة محرقة الورق باستخدام طريقة النشاط على السهم AOA والحل موجود في الشكل 6-3.
شكل 6-3
رسم شبكة مشروع بناء محرقة ورق باستخدام النشاط على السهم AOA

2. رسم شبكة محرقة الورق باستخدام طريقة النشاط على القطب AON والحل موجود في الشكل 6-4 .
شكل 6-4
رسم شبكة مشروع بناء محرقة ورق باستخدام النشاط على القطب AON

الاكثر قراءة في الادارة الهندسية
اخر الاخبار
اخبار العتبة العباسية المقدسة
الآخبار الصحية

قسم الشؤون الفكرية يصدر كتاباً يوثق تاريخ السدانة في العتبة العباسية المقدسة
"المهمة".. إصدار قصصي يوثّق القصص الفائزة في مسابقة فتوى الدفاع المقدسة للقصة القصيرة
(نوافذ).. إصدار أدبي يوثق القصص الفائزة في مسابقة الإمام العسكري (عليه السلام)