
الادارة الهندسية

الانشاءات

الطرق والمواصلات

الموارد المائية

هندسة الجيوتكنك
البرمجة الشبكة باستخدام أسلوب بيرت
المؤلف:
الدكتور موسى احمد خير الدين
المصدر:
ادارة المشاريع المعاصرة
الجزء والصفحة:
ص 182-187 الفصل السادس
2023-05-29
3219
البرمجة الشبكية باستخدام أسلوب بيرت Programming Evaluation Revision Technique (PERT))
وقد تم تطوير هذا الأسلوب في الحرب العالمية الثانية من قبل سلاح البحرية الامريكية وذلك لإدارة الوقت في نقل الموارد إلى ميدان المعارك في اوروبا ضمن أفضل وقت ممكن، ويتم إعداد البرمجة الشبكية للمشروع باستخدام أسلوب بيرت PERT باتباع الخطوات التالية:
1. يقوم المعنيون بالبرمجة الشبكية بتحديد ثلاثة أوقات محتملة لإنهاء كل نشاط من أنشطة المشروع وهي: الوقت المتفائل Optimistic Time ويرمز له في الشبكة بالرمز (a) وهو أقصر وقت ممكن لتنفيذ النشاط إذا عملت الظروف المؤثرة في صالح المشروع. والوقت المتشائم Pessimistic Time ويرمز له في الشبكة بالرمز (b) وهـو أطول وقت ممكن لتنفيذ النشاط إذا جاءت الظروف المؤثرة غير مواتية وعملت في غير صالح المشروع. ثم الوقت الأكثر احتمالا Most likely ويرمز له على الشبكة (m) وهو الوقت الأكثر احتمالا أن يتم تنفيذ النشاط به.
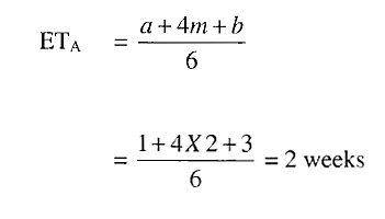
2. تحديد الوقت المتوقع (Expected Time (ET لكل نشاط من أنشطة المشروع وذلك باستخدام المعادلة الرياضية

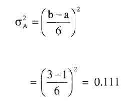
(التي تقع على المسار الحرج) فقط. ويكون حاصل جمع التباينات التي تقع على المسار الحرج هو تباين المشروع ككل. ويتم احتساب التباين حسب المعادلة الرياضية

6. نذهب إلى جدول الاحتمالات للقيمة المعيارية، وهو ما يسمى في الإحصاء بجدول 2، ونستخرج الاحتمال المقابل للقيمة المعيارية التي نتجت معنا في النقطة 5 فتكون هي النسبة المئوية (احتمالية) أن ننهي المشروع في الوقت الذي نسعى إليه (نرغب به).
مثال 6 - 4 توضيحي لاسلوب بيرت PERT
بالعودة إلى مثال - فقد أراد المعنيون بالبرمجة الشبكية في المشروع القيام بتطوير شبكة المشروع باستخدام أسلوب بيرت PERT، وقد قاموا بتحديد الأوقات المتفائلة والأوقات المتشائمة والأوقات الأكثر احتمالاً كمـا هـي في جدول 6-5. والمطلوب، دراسة احتمال أن ينتهي المشروع بعد اسبوع واحد من الوقت الأصلي المتوقع انتهاؤه فيه.
جدول 6-5
أوقات مثال 6-4

حل مثال 6-4
1. يتم احتساب المتوقع لكل نشاط باستخدام المعادلة الرياضية (65) والنتائج جميعها موجودة في جدول 6-6- وللتوضيح فإن حساب الوقت المتوقع للنشاط A يكون على النحو التالي:

2. يتم رسم شبكة المشروع بطريقة النشاط على القطب كما هو مبين في الشكل 6-4، ثم احتساب المسارات جميعها وتحديد المسار الحرج للأوقات المتوقعة (ET) كما تم شرحه سابقاً. والمسار الحرج يكون 15 أسبوع.
3. يتم احتساب التباين لكل نشاط من أنشطة المشروع باستخدام المعادلة الرياضية (66)، والنتائج جميعها موجودة في جدول 66. ويتم حساب التباين للنشاط A على النحو التالي:


ملاحظة : قيمة 16 = X ، جاءت من السؤال لأن المطلوب أن نحسب إمكانية إنهاء المشروع بعد اسبوع واحد من الوقت المتوقع (الوقت الحرج)، وبما أن المسار الحرج 15 أسبوع، إذن قيمة X=16 week .
7. نذهب إلى جدول الاحتمالات للقيمة المعيارية Z الموجود نسخة منه في نهاية هذا الفصل ومقابل قيمة 0.5668=Z نجد أن احتمال إنهاء المشروع بعد اسبوع واحد من موعده المتوقع يساوي 71.5%.

الاكثر قراءة في الادارة الهندسية
اخر الاخبار
اخبار العتبة العباسية المقدسة
الآخبار الصحية

قسم الشؤون الفكرية يصدر كتاباً يوثق تاريخ السدانة في العتبة العباسية المقدسة
"المهمة".. إصدار قصصي يوثّق القصص الفائزة في مسابقة فتوى الدفاع المقدسة للقصة القصيرة
(نوافذ).. إصدار أدبي يوثق القصص الفائزة في مسابقة الإمام العسكري (عليه السلام)