
الادارة الهندسية

الانشاءات

الطرق والمواصلات

الموارد المائية

هندسة الجيوتكنك
نموذج العائد والمخاطرة
المؤلف:
الدكتور موسى احمد خير الدين
المصدر:
ادارة المشاريع المعاصرة
الجزء والصفحة:
ص 286- 292 الفصل التاسع
2023-06-16
2593
6-9 نموذج العائد والمخاطرة Risk and Return Model
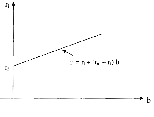
ويسمى أيضا (Security Market Line Model (SML وهو نموذج يمثل علاقة خطية Linear Relationship بين العائد المطلوب Required Rate of Return ويرمز له ، ومعامل المخاطرة Risk Factor بيتا ويرمز له b . وحتى نتمكن من استخدام هذا النموذج بطريقة ناجحة لا بد من معرفة معدل العائد على السوق Fm بالإضافة إلى معدل العائد الحالي من المخاطرة Risk Free Rate of Return ويرمز له ، ويحسب على أساس العائد على السندات الحكومية وذلك لأنّ سدادها مضمون وخالي من المخاطر لأنها مكفولة من الحكومة ويتم التعبير عن العلاقة الخطية بين العائد المطلوب والمخاطرة b في النموذج SML بالمعادلة التالية:
ri = rf + ( rm – rf ) b ……………. 9—15
وقد تم اشتقاق هذه المعادلة والتعبير عن النموذج الخطي SML كما في الشكل 9-3 :
شكل 9-3
نموذج العائد والمخاطرة SML

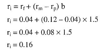
مثال 9-15
إذا علمت إن معدل العائد في سوق المشاريع الإنشائية = 0.12 ، وإن معدل العائد على السندات الحكومية = 0.04 . احسب معدل العائد المطلوب على مشروع إنشائي له معامل مخاطرة b = 1.5
الحل بتطبيق المعادلة 15—9 نحصل على معدل العائد المطلوب

7-9 مثال شامل على العائد والمخاطرة
ترغب شركة مقاولات في الاستثمار مبلغ عشرة ملايين دولار في برنامج مشاريع مقاولات انشائية مكون من خمسة مشاريع . وتوفرت لديك البيانات الموجودة في جدول 9-17 عن نسب الاستثمار والعائد المتوقع والمخاطرة .
جدول 9-17
مثال شامل على العائد والمخاطرة

المطلوب:
1- حساب معدل العائد المتوقع على البرنامج.
2- حساب معامل المخاطرة بيتا b للبرنامج.
3 حساب الانحراف المعياري سكما للبرنامج.
4- حساب معامل التغير CV للبرنامج.
5- إذا علمت أن معدل العائد على سوق المقاولات = 0.16 وأن معدل العائد على سندات التنمية الحكومية = 0.05 ، المطلوب حساب معدل العائد المطلوب على برنامج المشاريع .
الحل:
1- حساب معدل العائد المتوقع على البرنامج : وهو هنا العائد الموزون، وحتى يتم حسابه تتبع الخطوات التالية :
• حساب الوزن النسبي Wi لكل مشروع، وذلك بقسمة قيمة الاستثمار في كل مشروع على الاستثمار الكلي في البرنامج والنتائج موجودة في جدول 9-18.
• نقوم بضرب العائد المتوقع لكل مشروع في الوزن النسبي لكل مشروع ri ، ثم نقوم بجمع الناتج تطبيقا للمعادلة 5—9

فنحصل على العائد المتوقع للبرنامج وهو 0.15 والنتائج موجودة في جدول 9-18.
-2- حساب معامل المخاطرة bللبرنامج بنفس الطريقة نقوم بضرب في bi في wi لكل مشروع ونقوم بجمع الناتج تطبيقا للمعادلة 14—9

والناتج إن معامل المخاطرة للبرنامج = 2.0 والنتائج موجودة في الجدول 9-18
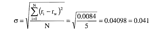
3- حساب الانحراف المعياري للبرنامج سكما .
نقوم أولا بطرح قيمة rw من قيم ri لكل مشروع ونقوم بتربيع الناتج ثم نقوم يجمع الناتج ونقسمه على عدد المشاريع وهو 5 . تطبيقا للمعادلة 10—9

والناتج أن الانحراف المعياري للبرنامج 0.041 = سكما والنتائج موجودة في الجدول 9-18
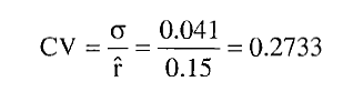
4- حساب معامل التغير للبرنامج CV
نقوم بالتطبيق المباشر للمعادلة 12-9

5- حساب معامل العائد المطلوب على البرنامج بالتطبيق المباشر للمعادلة الخطية لنموذج SML


الاكثر قراءة في الادارة الهندسية
اخر الاخبار
اخبار العتبة العباسية المقدسة
الآخبار الصحية

قسم الشؤون الفكرية يصدر كتاباً يوثق تاريخ السدانة في العتبة العباسية المقدسة
"المهمة".. إصدار قصصي يوثّق القصص الفائزة في مسابقة فتوى الدفاع المقدسة للقصة القصيرة
(نوافذ).. إصدار أدبي يوثق القصص الفائزة في مسابقة الإمام العسكري (عليه السلام)