

علم الكيمياء

تاريخ الكيمياء والعلماء المشاهير

التحاضير والتجارب الكيميائية

المخاطر والوقاية في الكيمياء

اخرى

مقالات متنوعة في علم الكيمياء

كيمياء عامة


الكيمياء التحليلية

مواضيع عامة في الكيمياء التحليلية

التحليل النوعي والكمي

التحليل الآلي (الطيفي)

طرق الفصل والتنقية


الكيمياء الحياتية

مواضيع عامة في الكيمياء الحياتية

الكاربوهيدرات

الاحماض الامينية والبروتينات

الانزيمات

الدهون

الاحماض النووية

الفيتامينات والمرافقات الانزيمية

الهرمونات


الكيمياء العضوية

مواضيع عامة في الكيمياء العضوية

الهايدروكاربونات

المركبات الوسطية وميكانيكيات التفاعلات العضوية

التشخيص العضوي

تجارب وتفاعلات في الكيمياء العضوية


الكيمياء الفيزيائية

مواضيع عامة في الكيمياء الفيزيائية

الكيمياء الحرارية

حركية التفاعلات الكيميائية

الكيمياء الكهربائية


الكيمياء اللاعضوية

مواضيع عامة في الكيمياء اللاعضوية

الجدول الدوري وخواص العناصر

نظريات التآصر الكيميائي

كيمياء العناصر الانتقالية ومركباتها المعقدة


مواضيع اخرى في الكيمياء

كيمياء النانو

الكيمياء السريرية

الكيمياء الطبية والدوائية

كيمياء الاغذية والنواتج الطبيعية

الكيمياء الجنائية


الكيمياء الصناعية

البترو كيمياويات

الكيمياء الخضراء

كيمياء البيئة

كيمياء البوليمرات

مواضيع عامة في الكيمياء الصناعية

الكيمياء الاشعاعية والنووية
THE HISTORY OF MEDICINAL CHEMISTRY
المؤلف:
James R Hanson
المصدر:
Chemistry and Medicines
الجزء والصفحة:
Pp8-19
18-1-2016
12484
THE HISTORY OF MEDICINAL CHEMISTRY
There is a long history of plants being used to treat various diseases. They figure in the records of early civilisations in Babylon, Egypt, India and China. The therapeutic properties of plants were described by the Ancient Greeks and by the Romans and are recorded in the writings of Hippocrates, Dioscorides, Pliny and Galenus. Some metals and metal salts were also used at this time. In the Middle Ages various ‘Materia Medica’ and pharmacopeas brought together traditional uses of plants. The herbals of John Gerard (1596), John Parkinson (1640) and Nicolas Culpeper (1649) provide an insight into this widespread use of herbs. Exploration in the seventeenth and eighteenth centuries led to the addition of a number of useful tropical plants to those of European origin. The nineteenth century saw the beginnings of modern organic chemistry and consequently of medicinal chemistry. Their development is intertwined. The isolation of a number of alkaloids including morphine (1805), quinine (1823) and atropine (1834) from crude medicinal plant extracts was part of the analytical effort to standardize drug preparations and overcome fraud. General anaesthetics were introduced in surgery from 1842 onwards (diethyl ether (1842), nitrous oxide (1845) and chloroform (1847)). Antiseptics such as iodine (1839) and phenol (1860) also made an important contribution to the success of surgery. The hypnotic activity of chloral (trichloroethanal) (1869) was also reported.
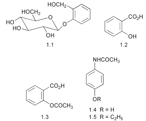
Many of the developments after the 1860s arose from the synthesis of compounds specifically for their medicinal action. Although the use of willow bark as a pain-killer was known to the herbalists, the analgesic activity of its constituent salicin 1.1 and of salicylic acid 1.2 were developed in the 1860s and 1870s. p-Hydroxyacetanilide 1.4 (paracetamol) and phenacetin 1.5 (1886) were also recognized as pain-killers. Acetylation of salicylic acid to reduce its deleterious effect on the stomach led to the introduction of aspirin 1.3 in 1899. However its mode of action was not established until 1971.
The local anaesthetic action of cocaine was reported in 1884 although its structure was not known at the time. Various modifications of the dialkylamino esters of aromatic acids modelled on part of the structure of cocaine 1.6 led to benzocaine (1892) and procaine 1.7 (1905). The barbiturates, veronal (1903) and phenobarbital 1.8 (1911) were introduced as sleeping tablets.

Once ideas of chemical structure were formulated in the mid-nineteenth century, the first theories of the relationships between chemical structure and biological activity began to emerge. Thus Crum-Brown and Fraser (1869) noted that a ‘relationship exists between the physiological action of a substance and its chemical composition’ leading to the idea that cells can respond to the signals from specific molecules. On the basis of observations that certain dyes selectively stained micro-organisms, Ehrlich in the 1890s put forward the idea that there were specific receptors for biologically active compounds – ‘lock and key’ relationships. This led to the examination in 1904 of dyestuffs such as trypan red for the treatment of trypanosomiasis and the development (1907) of salvarsan 1.9 for the treatment of syphilis by what turned out to be a false structural analogy (see Chapter 6). In the First World War acriflavine and proflavine 1.10 dyestuffs were used for the treatment of sepsis in wounds. The work of Meyer and Overton (1899–1901) to relate a physical property (the oil: water distribution co-efficient) to biological activity (anaesthesia) were the first rudimentary QSAR. Another quantitative measurement that was made was the chemotherapeutic index, which was the ratio of the minimum curative dose to the maximum tolerated dose (CD50/LD50).

The action of acetylcholine on nerve tissue had been recognized in the late nineteenth century. Barger and Dale (1910) examined the response of various tissues to acetylcholine agonists and showed that there were different receptor sub-types; some responding to muscarine and others to nicotine. The 1920s and 1930s saw the recognition of vitamin deficiency diseases and the elucidation of the structure of various vitamins. It was also a period in which there was exposure of many Europeans to tropical diseases. The iodinated quinolines such as entero-vioform 1.11 were introduced to combat amoebic dysentary and complex dyestuff derivatives such as suramin and germanin were developed in the 1920s to treat sleeping sickness. Synthetic anti-malarials such as pamaquine (1926), mepacrine (1932) and later chloroquine 1.12 (1943) and paludrine 1.13 (1946) were introduced as quinine replacements.

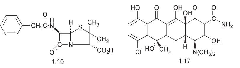
In 1935 Domagk observed the anti-bacterial action of the sulfonamide dyestuff, prontosil red 1.14, from which the important family of sulfonamide 1.15 anti-bacterial agents were developed. The activity of these compounds as inhibitors of folic acid biosynthesis was rationalized by Woods (1940) as anti-metabolites of p-aminobenzoic acid. With the onset of the Second World War, there was a need for new antibiotics. In 1929 Fleming had observed that a strain of Penicillium notatum inhibited the growth of a Staphylococcus. In 1940–1941 Chain, Florey and Heaton isolated benzylpenicillin 1.16. After considerable chemical work, the blactam structure for the penicillins was established. The relatively easy bio-assays for anti-bacterial and anti-fungal activity led to the isolation of a number of antibiotics including streptomycin (1944), chloramphenicol (1949) and the tetracyclines such as aureomycin 1.17 (1949).

Several different aspects of medicinal chemistry developed in parallel through the second half of the twentieth century. Although they did not develop independantly, it is easier to follow their progression by considering them separately. The structures of the steroid hormones were established in the 1930s and 1940s. The discovery in 1949 of the beneficial effect of cortisone 1.18 in alleviating the inflammation associated with rheumatism provided the stimulus for synthetic activity in this area. A number of anti-inflammatory semi-synthetic corticosteroids such as prednisolone, betamethasone 1.19 and triamcinolone became available in the late 1950s and 1960s.
Animal experiments to develop steroidal oral contraceptives were carried out before the Second World War but the first preparations (e.g. Enovid) containing a synthetic estrogen, for example ethynylestradiol 1.20 and progestogen were not available until 1959. Subsequent preparations have been developed to reduce the estrogen level. Mifepristone 1.21, which is an anti-progestogen and forms the basis of the ‘morningafter pill’, was introduced in 1985. Whereas many of the medicines that had been developed prior to this time were administered for only short periods of time, this was not true of the steroids and concerns developed over the effects of long-term therapy.

Problems associated with separating the anti-inflammatory activity from the mineralcorticoid activity of the cortical steroids led to interest in the development of non-steroidal anti-inflammatory agents (NSAID). The long-term use of aspirin as a pain-killer for arthritic conditions brought side-effects such as stomach ulcers. Indomethacin and ibuprofen (nurofen) 1.22 were introduced in 1965 and 1971 respectively as alternatives. During the 1960s the prostaglandin hormones were implicated in inflammation and in the protection of the stomach against ulcers. In 1971 aspirin was shown to inhibit the biosynthesis of the prostaglandins from arachidonic acid by the enzyme system, cyclo-oxygenase. The subsequent realization that there were several forms of cyclo-oxygenase provided the framework for developing selective non-steroidal antiinflammatory agents that only targeted some of the multiple activities of the prostaglandins. One result was the introduction in 1999 of celecoxib (Celebrex) 1.23 and rofecoxib (Vioxx) as selective cyclooxygenase (COX-2) inhibitors. Recently cardiovascular side effects of these compounds have begun to emerge and Vioxx has been withdrawn.

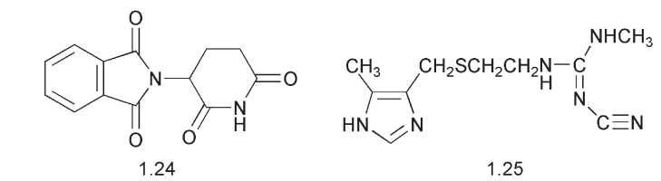
A number of developments took place in the 1960s, which changed medicinal chemistry. It was found that a drug, thalidomide 1.24, which had been introduced as a sedative, when used by pregnant women, led to the birth of deformed children. The consequences of this teratogenic effect brought about a major tightening of the regulations regarding drug registration and the safety of medicines. Unfortunately there was some tardiness in the recognition of this side-effect. Second in 1964 Hansch published correlations between substituent effects (Hammett parameters) and the biological activity of some aromatic compounds. These QSAR began to provide a framework for the systematic development of drugs and for decisions to be made in the planning of a research programme. The logical development during the 1960s of histamine antagonists for the treatment of peptic ulcers led to cimetidine 1.25 (1976) and then ranitidine (1981). The reasoning behind this work had a major impact on the development of medicinal chemistry.

Adrenalin (epinephrine) 1.26 was the first substance to be recognized as a hormone (1901). The adrenergic receptors were divided in the a- and b-receptors by Ahlquist in 1948 based on their responses to selective agonists, e.g. isoprenaline 1.27. The b-receptors were subsequently subdivided by Lands. This, together with an understanding of the metabolism of adrenalin (epinephrine) led to the discovery of salbutamol 1.28 (1967) as a selective b2 agonist in the treatment of asthma.

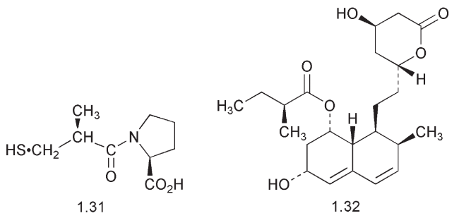
The development of drugs such as propranolol 1.29 (1964) and atenolol (1970), which blocked the b1 receptors in cardiac muscle, was a major advance in the treatment of heart disease. Another important group of drugs with cardiovascular properties that were developed in the 1960s were those that block the movement of calcium ions through ionchannels. These were dihydropyridines such as nifedipine 1.30 (1967). Angiotension converting enzyme (ACE) inhibitors such as captopril 1.31 (1977) and enalapril (1984) are further valuable anti-hypertensive agents. The association of high cholesterol levels with circulatory diseases led to the development of cholesterol biosynthesis inhibitors. A major family of drugs with this activity are the statins exemplified by lovastatin 1.32 (1987) and simvastatin (1988). The statins are now widely prescribed for reducing cholesterol levels.

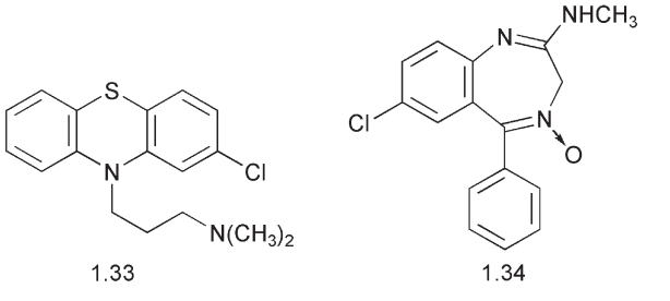
Medicinal chemistry has revolutionized the treatment of mental disease during the second half of the twentieth century. An increasing understanding of the role of various neurotransmitters in the brain has played an important part in this. A number of anti-depressants and antipsychotic agents were developed in the 1950s including the phenothiazine, chlorpromazine 1.33 (1952), the tricyclic compounds such as imipramine (1957) and the butyrophenones such as haloperidol (1958). The benzodiazepine tranquillizers such as librium 1.34 (1960) and valium (1963) were the forerunners of a large family of drugs.

The discovery in 1950 that a dopamine deficiency was associated with the neurodegenerative disease known as Parkinson’s disease, led to various strategies to overcome this dopamine deficiency. Unfortunately just administering dopamine was unsuccessful because it did not reach the brain. However a successful treatment made use of its biosynthetic precursor, L-DOPA 1.35 (1961). DOPA decarboxylase inhibitors such as carbidopa were developed to increase the amount of L-DOPA reaching the brain by preventing its decarboxylation before it reached the blood:- brain barrier. Dopamine agonists such as pergolide (1988) and ropinirole 1.36 (1996) and inhibitors of dopamine metabolism such as tolcapone (1997) have provided other methods of treatment. Whereas diminished dopamine levels have been associated with neurodegenerative diseases, excessive responses to dopamine and other neurotransmitters are associated with different conditions. Some aspects of depression have been associated with reduced levels of the neurotransmitter, serotonin. This has culminated in the development of selective serotonin reuptake inhibitors such as fluoxetine (Prozac) 1.37, paroxetine (Seroxat) 1.38, sertindole (1996) and olanzapine (1996).

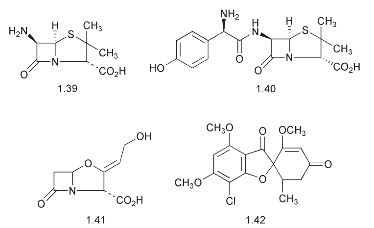
A major problem asociated with the treatment of many infectious diseases has been the development of resistant organisms. This has been found with viruses, bacteria and with parasitic organisms such as malaria. Strains of Staphylococcus aureus that were resistant to the natural penicillins were already starting to appear by the late 1940s. The penicillins that were used in the late 1940s and 1950s also had problems of stability associated with them. A significant step forward came in 1959 when methods for the commercial isolation of the 6-aminopenicillanic acid 1.39 core of the penicillins were developed. This permitted the synthesis of a range of semi-synthetic penicillins with enhanced stability and activity. Methicillin, ampicillin and amoxycillin 1.40 were introduced in 1960, 1961 and 1964 respectively. The related cephalosporin b-lactam antibiotics, cephaloridine, cephaloxin and cefaclor were introduced in 1964, 1967 and 1974 respectively. The development of resistant strains of bacteria possessing b-lactamases that degrade the penicillins, has become a serious problem. The combination of a b-lactamse inhibitor, clavulanic acid 1.41 (1976) with a penicillin, amoxycillin, in an antibiotic preparation known as Augmentins, was one useful approach to the problem. However methicillin resistant strains of Staphylococcus aureus (MRSA) are an increasing problem. Although these may be combated with a different type of antibiotic, vancomycin, strains that are resistant even to this antibiotic are beginning to appear.

Fungal infections of man are mainly confined to the skin. A number of useful antifungal agents have been developed. The structure of the antifungal microbial metabolite, griseofulvin 1.42, was established in 1952 and it was launched in 1959. Inhibition of the sterol component of the fungal cell wall has provided the basis of the action of a family of antifungal agents known as the azoles. These include micoconazole 1.43 (1972), ketoconazole (1980) and fluconazole (1988).

Whereas the bio-assay of anti-bacterial and anti-fungal agents is relatively straightforward, a virus requires its host-cell in which to replicate. Hence the bio-assay of anti-viral agents was more difficult until cell culture techniques were developed. Anti-viral agents active against the herpes virus include acyclovir 1.44 (1981). The identification of the viral origin of HIV-AIDS in 1983 led to the introduction of azidothymidine 1.45 (AZT) in 1987 to combat this disease. More recently (1999) zanamavir (Relenzas) and oseltamivir (Tamiflus) have been developed for the treatment of ‘flu’.
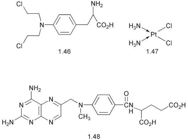
A key change in the bio-assay of drugs in the latter part of the twentieth century involved the development of receptor and enzyme bioassays and the use of cell culture techniques. Many of the screens are very rapid and can cope with large numbers of samples. High throughput screening has changed the scale and rate at which compounds are produced for bio-assay. The development of cancer chemotherapy has reflected this shift in screening from the use of animal models towards cell-lines associated with particular tumours. Many of the earlier drugs were alkylating agents developed from the chemical warfare agent, mustard gas. These included cyclophosphamide and melphalen 1.46. The important observation, made in 1969, that the products from electrolysis using platinum electrodes, slowed down the growth of bacteria, led to the development of the anti-tumour drug, cis-platin 1.47. Another approach involved blocking the biosynthesis of DNA using drugs known as anti-metabolites, which was exemplified by methotrexate 1.48. Natural products, such as the Vinca alkaloids, vincristine and vincaleukoblastine and more recently, taxols (paclitaxel) from the yew tree are useful tumour inhibitory agents.

The recognition that a significant proportion of breast cancers are estrogen dependent, led to the development of compounds that target the estrogen receptor (tamoxifen,1.49) or inhibit estrogen biosynthesis (formestane, 1.50, 1993; anastrazole, 1995). The use of monoclonal antibodies (e.g. herceptin) which recognize and specifically target particular cancer cells and prevent them developing is a very important advance.

The impact of genomics on medicine and the recognition of genetic differences associated not only with specific diseases but also with the susceptibility to disease, is likely to lead to significant new treatments and refinements of older treatments. While many of these may involve the surgical introduction of particular cells, their ultimate success will retain a medicinal chemistry input. The diagnostic tests for many of these conditions also requires the skills of the medicinal chemist.
الاكثر قراءة في الكيمياء الطبية والدوائية
اخر الاخبار
اخبار العتبة العباسية المقدسة
الآخبار الصحية

قسم الشؤون الفكرية يصدر كتاباً يوثق تاريخ السدانة في العتبة العباسية المقدسة
"المهمة".. إصدار قصصي يوثّق القصص الفائزة في مسابقة فتوى الدفاع المقدسة للقصة القصيرة
(نوافذ).. إصدار أدبي يوثق القصص الفائزة في مسابقة الإمام العسكري (عليه السلام)