

علم الكيمياء

تاريخ الكيمياء والعلماء المشاهير

التحاضير والتجارب الكيميائية

المخاطر والوقاية في الكيمياء

اخرى

مقالات متنوعة في علم الكيمياء

كيمياء عامة


الكيمياء التحليلية

مواضيع عامة في الكيمياء التحليلية

التحليل النوعي والكمي

التحليل الآلي (الطيفي)

طرق الفصل والتنقية


الكيمياء الحياتية

مواضيع عامة في الكيمياء الحياتية

الكاربوهيدرات

الاحماض الامينية والبروتينات

الانزيمات

الدهون

الاحماض النووية

الفيتامينات والمرافقات الانزيمية

الهرمونات


الكيمياء العضوية

مواضيع عامة في الكيمياء العضوية

الهايدروكاربونات

المركبات الوسطية وميكانيكيات التفاعلات العضوية

التشخيص العضوي

تجارب وتفاعلات في الكيمياء العضوية


الكيمياء الفيزيائية

مواضيع عامة في الكيمياء الفيزيائية

الكيمياء الحرارية

حركية التفاعلات الكيميائية

الكيمياء الكهربائية


الكيمياء اللاعضوية

مواضيع عامة في الكيمياء اللاعضوية

الجدول الدوري وخواص العناصر

نظريات التآصر الكيميائي

كيمياء العناصر الانتقالية ومركباتها المعقدة


مواضيع اخرى في الكيمياء

كيمياء النانو

الكيمياء السريرية

الكيمياء الطبية والدوائية

كيمياء الاغذية والنواتج الطبيعية

الكيمياء الجنائية


الكيمياء الصناعية

البترو كيمياويات

الكيمياء الخضراء

كيمياء البيئة

كيمياء البوليمرات

مواضيع عامة في الكيمياء الصناعية

الكيمياء الاشعاعية والنووية
CATECHOLAMINES AS NEUROTRANSMITTERS
المؤلف:
James R Hanson
المصدر:
Chemistry and Medicines
الجزء والصفحة:
p 54
8-10-2017
1956
CATECHOLAMINES AS NEUROTRANSMITTERS
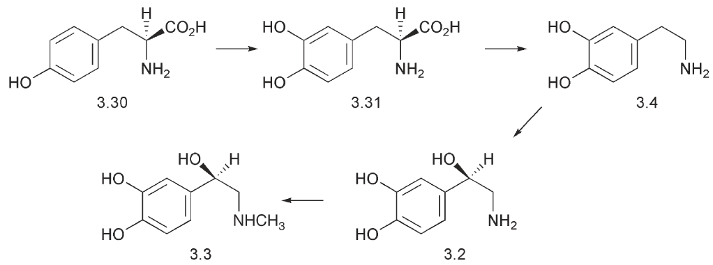
There are three neurotransmitters that are derived from the amino acid L-tyrosine 3.30 (see Scheme 5). They are dopamine (dihydroxyphenylethylamine) 3.4, noradrenalin 3.2 and adrenalin 3.3. Both noradrenalin and adrenalin are chiral alcohols and it is the R enantiomer that is active. They are found in both the peripheral nervous system and the CNS.

Scheme 5 The formation of the catecholamines
The biosynthesis of these compounds involves the hydroxylation of Ltyrosine 3.30 to L-dihydroxyphenylalanine (L-DOPA) 3.31, decarboxylation to form dopamine 3.4, hydroxylation to form noradrenalin 3.2 and finally N-methylation to give adrenalin 3.3. The first step in this sequence is rate-limiting. Once the compounds have been formed, they are stored in the nerve endings prior to their release.
While dopamine 3.4 and noradrenalin 3.2 are localized in their action, adrenalin 3.3 is also a circulatory hormone produced by the adrenal glands.
The hormones are metabolized by the monoamine oxidase pathway, which converts the compounds via their imines to the aldehydes and which are then oxidized to the acids e.g. 3.32. There are two forms of monoamine oxidase. Monoamine oxidase A metabolizes noradrenalin and serotonin while dopamine is metabolized by monoamine oxidase B. Another metabolic pathway involves the COMT system, which converts the phenolic hydroxyl group that is meta to the side chain, to a methoxyl, e.g. 3.33. The methyl ether may then be metabolized via the monoamine oxidase pathway to a hydroxy-acid. The compounds may also be excreted as their sulfates. These metabolic changes prevent the neurotransmitter from binding to its receptor. A regulatory mechanism involves the re-uptake of noradrenalin. This leads to the inhibition of its release and thus it provides a negative feedback regulation.

3.32 3.33
الاكثر قراءة في الكيمياء الطبية والدوائية
اخر الاخبار
اخبار العتبة العباسية المقدسة
الآخبار الصحية

قسم الشؤون الفكرية يصدر كتاباً يوثق تاريخ السدانة في العتبة العباسية المقدسة
"المهمة".. إصدار قصصي يوثّق القصص الفائزة في مسابقة فتوى الدفاع المقدسة للقصة القصيرة
(نوافذ).. إصدار أدبي يوثق القصص الفائزة في مسابقة الإمام العسكري (عليه السلام)