

علم الكيمياء

تاريخ الكيمياء والعلماء المشاهير

التحاضير والتجارب الكيميائية

المخاطر والوقاية في الكيمياء

اخرى

مقالات متنوعة في علم الكيمياء

كيمياء عامة


الكيمياء التحليلية

مواضيع عامة في الكيمياء التحليلية

التحليل النوعي والكمي

التحليل الآلي (الطيفي)

طرق الفصل والتنقية


الكيمياء الحياتية

مواضيع عامة في الكيمياء الحياتية

الكاربوهيدرات

الاحماض الامينية والبروتينات

الانزيمات

الدهون

الاحماض النووية

الفيتامينات والمرافقات الانزيمية

الهرمونات


الكيمياء العضوية

مواضيع عامة في الكيمياء العضوية

الهايدروكاربونات

المركبات الوسطية وميكانيكيات التفاعلات العضوية

التشخيص العضوي

تجارب وتفاعلات في الكيمياء العضوية


الكيمياء الفيزيائية

مواضيع عامة في الكيمياء الفيزيائية

الكيمياء الحرارية

حركية التفاعلات الكيميائية

الكيمياء الكهربائية


الكيمياء اللاعضوية

مواضيع عامة في الكيمياء اللاعضوية

الجدول الدوري وخواص العناصر

نظريات التآصر الكيميائي

كيمياء العناصر الانتقالية ومركباتها المعقدة


مواضيع اخرى في الكيمياء

كيمياء النانو

الكيمياء السريرية

الكيمياء الطبية والدوائية

كيمياء الاغذية والنواتج الطبيعية

الكيمياء الجنائية


الكيمياء الصناعية

البترو كيمياويات

الكيمياء الخضراء

كيمياء البيئة

كيمياء البوليمرات

مواضيع عامة في الكيمياء الصناعية

الكيمياء الاشعاعية والنووية
PRO-DRUGS
المؤلف:
James R Hanson
المصدر:
Chemistry and Medicines
الجزء والصفحة:
p33
29-3-2016
1912
PRO-DRUGS
A pro-drug is a pharmacologically inert substance, which is converted in the body to an active drug. Pro-drugs rely on metabolic steps such as those outlined above to release the active drug. Thus a pro-drug is a masked latent drug. This masking of the drug can modify its solubility and alter its distribution allowing it to reach its site of action more effectively. It may enable the compound to cross barriers such as the blood:brain barrier and it may prevent the deactivation and excretion of a drug. It can also produce a slow-release form of the drug.
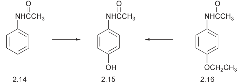
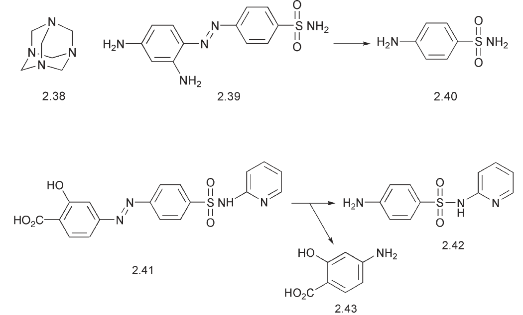
One of the simplest examples of a pro-drug is that of methenamine (hexamethylenetetramine) 2.38, which was used as a urinary tract antiseptic because it was broken down in the acidic medium of the urine to release formaldehyde. Another example was the analgesic phenacetin 2.16 in which the ethoxy group was hydroxylated to form a hemi-acetal, which then released paracetamol 2.15.

However phenacetin is no longer available because another of its metabolites has turned out to be toxic. The discovery of the sulfonamide anti-bacterial agents arose from the conversion of the dyestuff prontosil red 2.39 into sulfanilamide 2.40. Another sulfa drug to build on this is sulfasalazine 2.41, which was developed in the 1940s to treat ulcerative colitis. The pro-drug was cleaved by amidases in the colon to release sulfapyridine 2.42 and 5- aminosalicylic acid 2.43. It enabled a useful concentration of sulfapyridine to be established at the site of action.

Hydrocortisone 2.44 is used to alleviate inflammation at various sites in the body. The sodium succinate C-21 ester 2.45 provides a watersoluble pro-drug while the 21-palmitate 2.46 is a lipid-soluble pro-drug enabling it to reach different sites of activity. Another example is the antiviral agent acyclovir 2.47, which is transported into a virus before it is phosphorylated to give the active species. The triphosphate of acyclovir would not cross the viral cell wall. Azathioprine 2.48 is a pro-drug for 6- mercaptopurine 2.49, which is used as an immunosuppressant.


الاكثر قراءة في الكيمياء الطبية والدوائية
اخر الاخبار
اخبار العتبة العباسية المقدسة
الآخبار الصحية

قسم الشؤون الفكرية يصدر كتاباً يوثق تاريخ السدانة في العتبة العباسية المقدسة
"المهمة".. إصدار قصصي يوثّق القصص الفائزة في مسابقة فتوى الدفاع المقدسة للقصة القصيرة
(نوافذ).. إصدار أدبي يوثق القصص الفائزة في مسابقة الإمام العسكري (عليه السلام)