

علم الكيمياء

تاريخ الكيمياء والعلماء المشاهير

التحاضير والتجارب الكيميائية

المخاطر والوقاية في الكيمياء

اخرى

مقالات متنوعة في علم الكيمياء

كيمياء عامة


الكيمياء التحليلية

مواضيع عامة في الكيمياء التحليلية

التحليل النوعي والكمي

التحليل الآلي (الطيفي)

طرق الفصل والتنقية


الكيمياء الحياتية

مواضيع عامة في الكيمياء الحياتية

الكاربوهيدرات

الاحماض الامينية والبروتينات

الانزيمات

الدهون

الاحماض النووية

الفيتامينات والمرافقات الانزيمية

الهرمونات


الكيمياء العضوية

مواضيع عامة في الكيمياء العضوية

الهايدروكاربونات

المركبات الوسطية وميكانيكيات التفاعلات العضوية

التشخيص العضوي

تجارب وتفاعلات في الكيمياء العضوية


الكيمياء الفيزيائية

مواضيع عامة في الكيمياء الفيزيائية

الكيمياء الحرارية

حركية التفاعلات الكيميائية

الكيمياء الكهربائية


الكيمياء اللاعضوية

مواضيع عامة في الكيمياء اللاعضوية

الجدول الدوري وخواص العناصر

نظريات التآصر الكيميائي

كيمياء العناصر الانتقالية ومركباتها المعقدة


مواضيع اخرى في الكيمياء

كيمياء النانو

الكيمياء السريرية

الكيمياء الطبية والدوائية

كيمياء الاغذية والنواتج الطبيعية

الكيمياء الجنائية


الكيمياء الصناعية

البترو كيمياويات

الكيمياء الخضراء

كيمياء البيئة

كيمياء البوليمرات

مواضيع عامة في الكيمياء الصناعية

الكيمياء الاشعاعية والنووية
THE HYDROXYLATION OF AROMATIC RINGS
المؤلف:
James R Hanson
المصدر:
Chemistry and Medicines
الجزء والصفحة:
Pp28-29
18-1-2016
2494
THE HYDROXYLATION OF AROMATIC RINGS
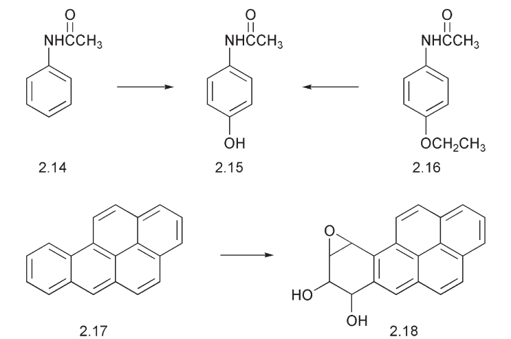
Many drugs contain an aromatic ring 2.8. Oxidation of the aromatic ring by the cytochrome P450s leads to the formation of a highly reactive, strained arene oxide 2.9. In the presence of acid, the epoxide undergoes hydrolysis to a diol 2.10, which may then be dehydrated to generate the aromatic ring of a phenol 2.12. Alternatively, a rearrangement may occur with the formation of a ketone 2.11 and thence by enolization, a phenol 2.12. The rearrangement of a hydrogen atom implicit in this process is known as the NIH shift after the National Institute of Health (USA) where it was discovered. The nucleophile in the cleavage of the epoxide may be the nitrogen of a nucleic acid base or the side chain amino group of a protein. The effect of this new bond is to attach the drug to the nucleic acid 2.13 or protein. This can lead to liver damage (hepatotoxicity). The nucleophile may also be the thiol of glutathione 2.4. This can lead to deactivation of a toxic metabolite.

There are many examples of this step. Acetanilide 2.14 is a weak painkiller (analgesic), but it is converted by the liver to paracetamol 2.15, a more powerful analgesic. This is an example of a pro-drug:drug relationship. The aromatic hydrocarbon, benzopyrene 2.17 is converted to the carcinogenic 3,4-epoxy-7,8-dihydroxybenzopyrene 2.18.

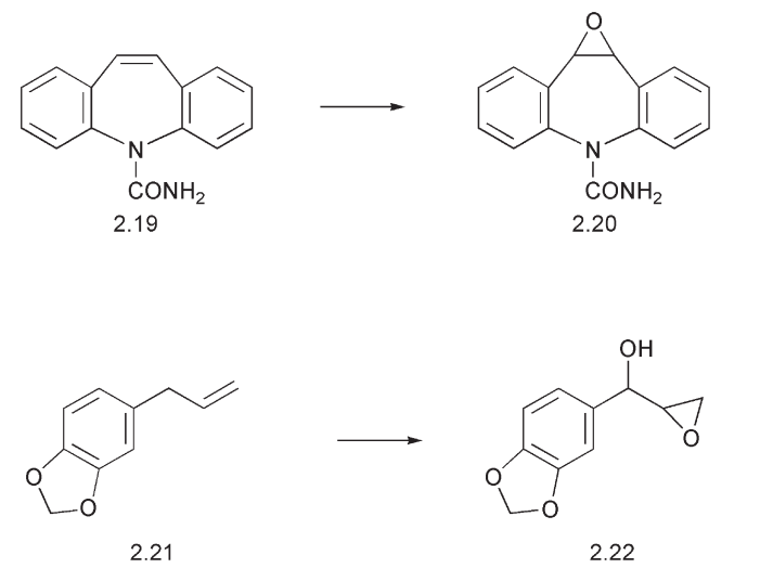
Nucleic acid bases such as guanosine react with the epoxide ring in 2.18. The aromatic ring of phenobarbital 2.6 may be hydroxylated. The benzylic position adjacent to an aromatic ring is also hydroxylated quite easily. An alkene may be epoxidized by the same process as exemplified by the metabolism of the tricyclic anti-depressant carbamazapine 2.19 to the epoxide 2.20. A combination of benzylic hydroxylation and epoxidation can be found in the metabolism of safrole 2.21 to the toxic hydroxy epoxide 2.22.

الاكثر قراءة في الكيمياء الطبية والدوائية
اخر الاخبار
اخبار العتبة العباسية المقدسة
الآخبار الصحية

قسم الشؤون الفكرية يصدر كتاباً يوثق تاريخ السدانة في العتبة العباسية المقدسة
"المهمة".. إصدار قصصي يوثّق القصص الفائزة في مسابقة فتوى الدفاع المقدسة للقصة القصيرة
(نوافذ).. إصدار أدبي يوثق القصص الفائزة في مسابقة الإمام العسكري (عليه السلام)